☆打卡算法☆LeetCode 110、平衡二叉树 算法解析

418 阅读2分钟

一起养成写作习惯!这是我参与「掘金日新计划 · 4 月更文挑战」的第4天,点击查看活动详情

推荐阅读

大家好,我是小魔龙,Unity3D软件工程师,VR、AR,虚拟仿真方向,不定时更新软件开发技巧,生活感悟,觉得有用记得一键三连哦。

一、题目

1、算法题目

“给定一个二叉树,判断它是否是平衡二叉树。”

题目链接:

来源:力扣(LeetCode)

链接: 110. 平衡二叉树

2、题目描述

给定一个二叉树,判断它是否是高度平衡的二叉树。

本题中,一棵高度平衡二叉树定义为:

一个二叉树每个节点 的左右两个子树的高度差的绝对值不超过 1 。

image.png

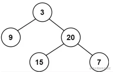
示例 1:
输入: root = [3,9,20,null,null,15,7]
输出: true
示例 2:
输入: root = [1,2,2,3,3,null,null,4,4]
输出: false

二、解题

1、思路分析

这出题的顺序就不能由易到难吗,前面几道题这么难,这道题这么简单。

这道题是判断给定的二叉树是不是平衡二叉树,如果一棵二叉树是平衡二叉树,那么其所有子树也是平衡二叉树。

那么就可以递归地判断二叉树是不是平衡二叉树。

2、代码实现

代码参考:

class Solution {
    public boolean isBalanced(TreeNode root) {
        if (root == null) {
            return true;
        } else {
            return Math.abs(height(root.left) - height(root.right)) <= 1 && isBalanced(root.left) && isBalanced(root.right);
        }
    }

    public int height(TreeNode root) {
        if (root == null) {
            return 0;
        } else {
            return Math.max(height(root.left), height(root.right)) + 1;
        }
    }
}

image.png

3、时间复杂度

时间复杂度 : O(n2)

其中n是二叉树中的节点个数。二叉树是满二叉树,需要遍历二叉树中所有节点,时间复杂度为O(n),对于最坏的情况,二叉树形成链式结构,高度为O(n),因此总时间复杂度为O(n2)。

空间复杂度: O(n)

其中n是二叉树的节点个数,空间发咋读取决于递归调用的层数,递归调用的层数不会超过n。

三、总结

计算节点高度,就可以判断二叉树是否平衡。

比如遍历到当前节点,计算左右子树的高度,如果左右子树的高度差不超过1,说明这个是根节点。

然后再分别遍历左右子树,判断左右子树是否平衡。