js算法题解(第33天)---leetcode 617.合并二叉树

168 阅读2分钟

一起养成写作习惯!这是我参与「掘金日新计划 · 4 月更文挑战」的第1天,点击查看活动详情

前言

每天一道算法题,死磕算法
今天我们继续来做🔥 LeetCode 热题 HOT 100上的题目,坚决拿下

题目

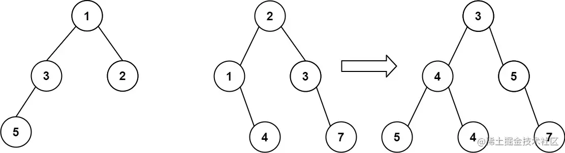
给你两棵二叉树: root1 和 root2 。

想象一下,当你将其中一棵覆盖到另一棵之上时,两棵树上的一些节点将会重叠(而另一些不会)。你需要将这两棵树合并成一棵新二叉树。合并的规则是:如果两个节点重叠,那么将这两个节点的值相加作为合并后节点的新值;否则,不为 null 的节点将直接作为新二叉树的节点。

返回合并后的二叉树。

注意: 合并过程必须从两个树的根节点开始。

图片.png

示例 1:

输入:root1 = [1,3,2,5], root2 = [2,1,3,null,4,null,7]
输出:[3,4,5,5,4,null,7]

分析

从题目中提取关键字
这个过程是做题的时候必做的,每道题都要先在纸上写一下,想学会跑,要能先熟练地走起来

  1. 如果两个节点重叠,那么将这两个节点的值相加作为合并后节点的新值;
    意思也就是说新的节点的值为2棵树的val相加

  2. 不为 null 的节点将直接作为新二叉树的节点 意思是说一个节点如果为null的话,那么就取另一个节点作为这个节点的值

题解

做树类型的题目,我们首先要想到递归

还有这个题目想得到一个什么呢?得到一颗新的树

那这个题目就简单的不能再简单了

/**
 * Definition for a binary tree node.
 * function TreeNode(val, left, right) {
 *     this.val = (val===undefined ? 0 : val)
 *     this.left = (left===undefined ? null : left)
 *     this.right = (right===undefined ? null : right)
 * }
 */
/**
 * @param {TreeNode} root1
 * @param {TreeNode} root2
 * @return {TreeNode}
 */
var mergeTrees = function(root1, root2) {
    // 递归一定要有结束条件
    // 根据题目中不为 null 的节点将直接作为新二叉树的节点可以写出
    if(!root1){
        return root2;
    }
    if(!root2){
        return root1;
    }
    let result = new TreeNode(); 
    result.val = root1.val+root2.val;
    result.left = mergeTrees(root1.left,root2.left);
    result.right = mergeTrees(root1.right,root2.right);
    // 返回一个新节点
    return result;
};

时间复杂度:O(min⁡(m,n)),其中 m 和 n 分别是两个二叉树的节点个数。只有当两个二叉树中的对应节点都不为空时才会访问到该节点,因此被访问到的节点数为两个树中节点树少的那一个。

空间复杂度:O(min⁡(m,n)),其中 m 和 n 分别是两个二叉树的节点个数。空间复杂度取决于递归调用的层数,递归调用的层数不会超过较小的二叉树的最大高度,最坏情况下,二叉树的高度等于节点数。

参考