02基本操作与矩阵输入

163 阅读4分钟

本文已参与「新人创作礼」活动,一起开启掘金创作之路

02基本操作与矩阵输入

MATLAB Programming Modes

  • Command line(in command window)
  • Scripts(.m files)

MATLAB as A Calculator

  • Operator: + - * / ^
  • Result is computed, and dislayed as ans
  • Precedence rules:
    • Left-right within a precedence group
    • Precedence groups are (highest first):
      1. Parenthesis ()
      2. Power (^)
      3. Multiplication and division (*, /)
      4. Addition and subtraction (+, -)

Exercise

  • Calculate:

    • cos((1+2+3+4)35)cos(\sqrt{\frac{(1+2+3+4)^{3}}{5}})
cos(((1 + 2 + 3 + 4) ^ 3 / 5) ^ 0.5)
ans =

   -0.0050
help sin
sin - 参数的正弦,以弧度为单位
    此 MATLAB 函数 返回 X 的元素的正弦。sin 函数按元素处理数组。该函数同时接受实数和复数
    输入。 对于 X 的实数值,sin(X) 返回区间 [-1, 1] 内的实数值。 对于 X 的复数
    值,sin(X) 返回复数值。

    Y = sin(X)

    See also sind, asin, asind, sinh, sinpi

    sin 的文档
    名为 sin 的其他函数
  • sin(π)+ln(tan(1))sin(\sqrt{\pi })+ln(tan(1))
sin(pi ^ 0.5) + log(tan(1))
ans =

    1.4228
  • 2(3.5×1.7)2^{(3.5×1.7)}
sin(pi ^ 0.5) + log(tan(1))
ans =

   61.8199
  • esin(10)e^{sin(10)}
(exp(1)) ^ sin(10)
ans =

    0.5804
  • Your best friend - on-line help

Elementary Math Functions

Embedding Functions

  • Functions may be embedded into other functions,

    在这里插入图片描述

  • Many lines of code can be condensed into one single command

Variables

  • Variables do NOT need to be declared before assignment

  • A single "equal" sign (=) is the assignment operator:

    在这里插入图片描述

  1. Upper case/lower case make difference? Yes.
  2. Can variable names can begin with a number? No.

Numeric Variable (Data) Type

在这里插入图片描述

who
您的变量为:

A    A2   ans  
whos
  Name      Size            Bytes  Class     Attributes

  A         1x1                 8  double              
  A2        1x1                 8  double              
  ans       1x1                 8  double 

Special Variable and Constants

  • ans

  • i, j: comlex number

  • Inf: ∞

  • eps: 2.2204e-016

  • NaN: not a number

  • pi: π\pi

  • To list keywords:

    iskeyword
    
    ans =
    
      20×1 cell 数组
    
        {'break'     }
        {'case'      }
        {'catch'     }
        {'classdef'  }
        {'continue'  }
        {'else'      }
        {'elseif'    }
        {'end'       }
        {'for'       }
        {'function'  }
        {'global'    }
        {'if'        }
        {'otherwise' }
        {'parfor'    }
        {'persistent'}
        {'return'    }
        {'spmd'      }
        {'switch'    }
        {'try'       }
        {'while'     }
    
  • What's the answer from MATLAB after typing?

    x = 1 / 0
    
    x =
    
       Inf
    
    x = log(0)
    
    x =
    
      -Inf
    
    x = Inf / Inf
    
    x =
    
       NaN
    

MATLAB Calling Priority

在这里插入图片描述

cos = 'This string.';
cos(8)
ans =

    'r'
clear cos

Numeric Display "Format"

format long
pi
ans =

   3.141592653589793

在这里插入图片描述

format longE
pi
ans =

     3.141592653589793e+00
format rat
>> 3 / 13
ans =

       3/13  

Exercise

  • Calculate
    313+414+515\frac{3}{13}+\frac{4}{14}+\frac{5}{15}

在这里插入图片描述

format rat
3 /13 + 4 / 14 + 5 / 15
ans =

     232/273   
format long
3 /13 + 4 / 14 + 5 / 15
ans =

   0.849816849816850

Command Line Terminal

  • Observe the difference between

    a = 10
    a = 10;
    
  • ; at the end of a command suppresses output to the terminal

  • ↑ display previous commands

Some Functions

  • clc: clear command window display
  • clear: remove all variables in the workspace
  • who: variables in the workspace
  • whos: variables information in the workspace

Array (Vector and Mrtrix)

  • Row vector:

    a = [1, 2, 3, 4]
    
  • Column vector:

    b = [1; 2; 3; 4]
    
  • Try:

    a * b
    b * a
    
  • Key in the following matrix in MATLAB

    A=[121651793127]A = \begin{bmatrix} 1 & 21 & 6\\ 5 & 17 &9 \\ 31 & 2 & 7 \end{bmatrix}
A = [1, 21, 6; 5, 17, 9; 31, 2, 7]

Array Indexing

  • Select a certain subset of elements inside a matrix

    A=[121651793127]A = \begin{bmatrix} 1 & 21 & 6\\ 5 & 17 &9 \\ 31 & 2 & 7 \end{bmatrix}
  • What's the answer from MATLAB after typing?

    A(8)
    A([1 3 5])
    
    A([1, 3]; [1, 3])
    
    A(3, 2)
    
    A([1, 3], [1, 3])
    
    9
    1 31 17
    
    1 31
    1 31
    
    2
    
     1 6
    31 7
    

Replacing Entries

  • Change the following elements in the matrix

在这里插入图片描述

A = [1, 21, 6; 5, 17, 9; 31, 2, 7]

A(1, 2) = 76
A(3, 2) = 0

A(1, 2) = 0
A(1, 3) = 0
A(2, 2) = 0
A(2, 3) = 0

A(3, : ) = []
  • The expression

    A () = []

    delete row or columns of A

Colon Operator

  • Want to create a long array: A = [1 2 3 ... 100]

  • Create vectors or arrays, and specify for iterations

  • Syntax: 在这里插入图片描述

  • What's the answer from MATLAB after typing?

    B = 1: 5
    B = 1: 2: 5
    B = [1: 5; 2: 3: 15; -2: 0.5: 0]
    str = 'a': 2: 'z'
    
    B =
    
         1     2     3     4     5
    B =
    
         1     3     5     
    B =
    
        1.0000    2.0000    3.0000    4.0000    5.0000
        2.0000    5.0000    8.0000   11.0000   14.0000
       -2.0000   -1.5000   -1.0000   -0.5000         0
    str =
    
        'acegikmoqsuwy'
    

Array Concatenation

  • Arrays can be formed through concatenation as long as the rectangular shape is preserved

    在这里插入图片描述

  • Create matrices A, B, C, AND D and concatenate them into F:

    在这里插入图片描述

Array Manipulation

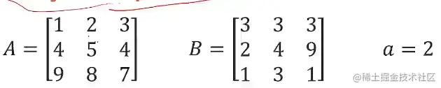
在这里插入图片描述

  • Operation on array: + - * / ^ · '

  • Type the following command and observe the results:

    x1 = A + a
    y1 = A + B
    x2 = A / a
    y2 = A * B
    x3 = A ./ a
    y3 = A .* B
    x4 = A ^ a
    y4 = A / B
    x5 = A .^ a
    y5 = A ./ B
    C = A'
    
    x1 =
    
         3     4     5
         6     7     6
        11    10     9
    y1 =
    
         4     5     6
         6     9    13
        10    11     8
    x2 =
    
        0.5000    1.0000    1.5000
        2.0000    2.5000    2.0000
        4.5000    4.0000    3.5000
    y2 =
    
        10    20    24
        26    44    61
        50    80   106
    x3 =
    
        0.5000    1.0000    1.5000
        2.0000    2.5000    2.0000
        4.5000    4.0000    3.5000
    y3 =
    
         3     6     9
         8    20    36
         9    24     7
    x4 =
    
        36    36    32
        60    65    60
       104   114   108
    y4 =
    
        0.0714    0.2857    0.2143
        1.1667         0    0.5000
        3.2619   -0.2857   -0.2143
    x5 =
    
         1     4     9
        16    25    16
        81    64    49
    y5 =
    
        0.3333    0.6667    1.0000
        2.0000    1.2500    0.4444
        9.0000    2.6667    7.0000
    C =
    
         1     4     9
         2     5     8
         3     4     7
    

在这里插入图片描述

Some Special Matrix

  • linspace () : linearly spaced vectors

  • eye (n) : n×n identity matrix

  • zeros (n1, n2) : n1×n2 zero matrix

  • ones (n1, n2) : n1×n2 matrix with every entry as 1

  • diag() : diagonal matrix

  • rand () : uniformly distributed random numbers

  • Typing the following command and observe the results:

    linspace(0, 13, 6)
    
    ans =
    
             0    2.6000    5.2000    7.8000   10.4000   13.0000
    

Some Matrix Related Functions

A=[123056709]A=\begin{bmatrix} 1 & 2 &3 \\ 0 & 5 &6 \\ 7 & 0 & 9 \end{bmatrix}
  • Typing the following command and observe the results:

    A = [1, 2, 3; 0, 5, 6; 7, 0, 9]
    max(A)
    max(max(A))
    min(A)
    sum(A)
    mean(A)
    sort(A)
    sortrows(A)
    size(A)
    length(A)
    find(A)
    
    A =
    
         1     2     3
         0     5     6
         7     0     9
    ans =
    
         7     5     9
    ans =
    
         9
    ans =
    
         0     0     3
    ans =
    
         8     7    18
    ans =
    
        2.6667    2.3333    6.0000
    ans =
    
         0     0     3
         1     2     6
         7     5     9
    ans =
    
         0     5     6
         1     2     3
         7     0     9
    ans =
    
         3     3
    ans =
    
         3
    ans =
    
         1
         3
         4
         5
         7
         8
         9