<数据结构>刷题笔记——链表篇(一)(有动图详解)

128 阅读3分钟

这是我的第一篇掘金博客,开启掘金写作之路。

1. 移除链表元素

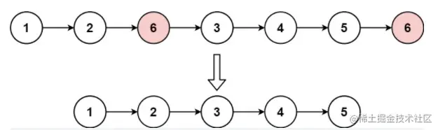
给你一个链表的头节点 head 和一个整数 val ,请你删除链表中所有满足 Node.val == val 的节点,并返回 新的头节点 。

示例 1: 在这里插入图片描述输入:head = [1,2,6,3,4,5,6], val = 6 输出:[1,2,3,4,5]

示例 2: 输入:head = [], val = 1 输出:[]

示例 3: 输入:head = [7,7,7,7], val = 7 输出:[]

提示: 列表中的节点数目在范围 [0, 104] 内 1 <= Node.val <= 50 0 <= val <= 50

解题思路:

请添加图片描述 以上情况你用两个指针也行,但要小心顺序问题。 ==还要小心第一个元素就要删除的情况,那样的话就把head往后移==


struct ListNode* removeElements(struct ListNode* head, int val){
    struct ListNode* prev = NULL;
    struct ListNode* cur = head;
    while(cur)
    {
        if(cur->val == val)
        {
            struct ListNode* next = cur->next;
            if(prev == NULL)//如果第一个元素就要删除,就把head往后移
            {
                free(cur);
                head = next;
                cur = next;
            }
            else
            {
                prev->next = next;
                free(cur);
                cur = next;
            }
        }
        else 
        {
            prev = cur;
            cur = cur->next;
        }
    }
    return head;
}

链接:

力扣203. 移除链表元素

2. 反转链表

给你单链表的头节点 head ,请你反转链表,并返回反转后的链表。

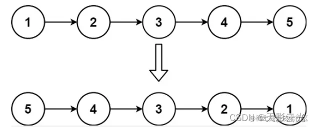
示例 1: 在这里插入图片描述 输入:head = [1,2,3,4,5] 输出:[5,4,3,2,1]

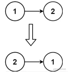
示例 2: 在这里插入图片描述 输入:head = [1,2] 输出:[2,1]

示例 3: 输入:head = [] 输出:[]

提示: 链表中节点的数目范围是 [0, 5000] -5000 <= Node.val <= 5000

解题思路:

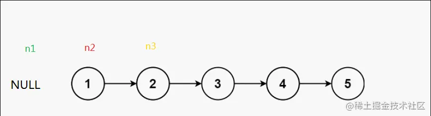
方法一:反转指向请添加图片描述

//方法1
struct ListNode* reverseList(struct ListNode* head){
    if(head == NULL)return NULL;
    struct ListNode* n1,*n2,*n3;
    n1 = NULL;
    n2 = head;
    n3 = head->next;


    while(n2)
    {
        n2->next = n1;
        n1 = n2;
        n2 = n3;
        if(n3)
            n3 = n3->next;//为了防止n3为空的情况
    }
    return n1;
}

方法二:创建新链表头插请添加图片描述

//方法二
struct ListNode* reverseList(struct ListNode* head){
    struct ListNode* newhead = NULL, *cur = head, *next;
    while(cur)
    {
        next = cur->next;
        cur->next = newhead;
        newhead = cur;
        cur = next;
    }
    return newhead;
}

链接:

力扣206. 反转链表

3. 合并两个有序链表

将两个升序链表合并为一个新的 升序 链表并返回。新链表是通过拼接给定的两个链表的所有节点组成的。

在这里插入图片描述

示例 1: 输入:l1 = [1,2,4], l2 = [1,3,4] 输出:[1,1,2,3,4,4]

示例 2: 输入:l1 = [], l2 = [] 输出:[]

示例 3: 输入:l1 = [], l2 = [0] 输出:[0]

提示: 两个链表的节点数目范围是 [0, 50] -100 <= Node.val <= 100 l1 和 l2 均按 非递减顺序 排列

解题思路:

创建一个新链表,按从小到大顺序把数据重新尾插到新链表中(tail指针为了简化找尾过程) 请添加图片描述

struct ListNode* mergeTwoLists(struct ListNode* list1, struct ListNode* list2){
	//为了防止只有一个链表有数据
    if(list1 == NULL)
        return list2;
    if(list2 == NULL)
        return list1;
    struct ListNode* head = NULL, *tail = NULL;
    while(list1 && list2)
    {
        if(list1->val < list2->val)
        {
            if(tail == NULL)
            {
                head = tail = list1;
            }
            else
            {
                tail->next = list1;
                tail = list1;
            }
            list1 = list1->next;
        }
        else
        {
            if(tail == NULL)
            {
                head = tail = list2;
            }
            else
            {
                tail->next = list2;
                tail = list2;
            }
            list2 = list2->next;
        }
    }
    if(list1 != NULL)
    {
        tail->next = list1;
    }
    if(list2 != NULL)
    {
        tail->next = list2;
    }
    return head;
}

这道题还有一种更简便的写法,这种写法要引出带头节点的单链表的概念。顾名思义,带头节点的单链表有一个哨兵卫的头结点,但这个节点不存储有效数据。那么它有什么意义吗?它能够简化过程,让第一次插入和非第一次插入合并起来,看看以下的代码你就理解它的方便之处了。tail==NULL的情况不用单独讨论了。 在这里插入图片描述

struct ListNode* mergeTwoLists(struct ListNode* list1, struct ListNode* list2){
    struct ListNode* head = NULL, *tail = NULL;
    //带头节点
    head = tail = (struct ListNode*)malloc(sizeof(struct ListNode));
    head->next = NULL;
    while(list1 && list2)
    {
        if(list1->val < list2->val)
        {
            tail->next = list1;
            tail = list1;
            list1 = list1->next;
        }
        else
        {
            tail->next = list2;
            tail = list2;
            list2 = list2->next;
        }
    }
    if(list1 != NULL)
    {
        tail->next = list1;
    }
    if(list2 != NULL)
    {
        tail->next = list2;
    }
    struct ListNode* list = head->next;//head不存数据,要返回head的下一个
    free(head);
    return list;
}

链接:

力扣21. 合并两个有序链表

这些只是初级题目思路比较正常,大家小试牛刀,之后有的是难题 :dog:(手动狗头)