双目立体匹配之匹配代价计算

636 阅读6分钟

🍊作者简介:秃头小苏,致力于用最通俗的语言描述问题

🍊专栏推荐:深度学习网络原理与实战

🍊近期目标:写好专栏的每一篇文章

🍊支持小苏:点赞👍🏼、收藏⭐、留言📩

 

之前谈到过双目立体匹配的步骤,主要分为四步(半全局方法):匹配代价计算、代价聚合、视差计算、视差优化。匹配代价计算是双目立体匹配的第一步,其有很多实现的方法,现举其中的几种方法,旨在理解匹配代价的计算过程。

AD

  AD算法可以说是匹配代价计算中最简单的算法之一,其主要思想是不断比较左右相机中两点的灰度值大小,首先固定左相机中的一点,然后遍历右相机中的点,不断比较它们之前的灰度之差,灰度之差即为匹配代价。其数学公式为:

  其中,p,q分别为左右图像中的两点, IL()表示左图像中的灰度值,同理 IR()表示右图像中的灰度值。上式为灰度图像的匹配代价;若为彩色图像,则AD算法计算代价的公式为:

  即左右视图像素点的三个颜色分量之差的绝对值取平均。

  AD算法是基于单个像素点计算的匹配代价,受光照不均、图像噪声影响较大,但对纹理丰富区域有较好的匹配效果。    

SAD

  SAD(Sum of absolute differences)也是匹配代价计算中基础的算法,其基本思想是:差的绝对值之和。相对于AD算法计算的代价是通过两点之间的灰度值进行的,而SAD的匹配代价则是通过某点及其一定范围内的像素点决定的,其基本流程如下:

  首先输入两幅图像,一幅Left-Image,一幅Right-Image。其次对左图,依次扫描,选定一个锚点:

(1)构造一个小窗口,类似于卷积核;

(2)用窗口覆盖左边的图像,选择出窗口覆盖区域内的所有像素点;

(3)同样用窗口覆盖右边的图像并选择出覆盖区域的像素点;

(4)左边覆盖区域减去右边覆盖区域,并求出所有像素点灰度差的绝对值之和;

(5)移动右边图像的窗口,重复(3)-(4)的处理(这里有个搜索范围,超过这个范围跳出);

(6)找到这个范围内SAD值最小的窗口,即找到了左图锚点的最佳匹配的像素块。  

  其中,SAD的匹配代价计算公式如下:

  其中 , Np、Nq分别表示p、q周围的像素点。    

Cencus

  Census变换法也被广泛用于匹配代价计算。它能够较好地检测出图像中的局部结构特征,如边缘、角点特征等。其基本的思想如下:在图像区域定义一个矩形窗口,用这个矩形窗口遍历整幅图像。选取中心像素作为参考像素,将矩形窗口中每个像素的灰度值与参考像素的灰度值进行比较,灰度值小于或等于参考值的像素标记为0,大于参考值的像素标记为1,最后再将它们按位连接,得到变换后的结果,变换后的结果是由0和1组成的二进制码流。

  Cencus变换过程可通过如下公式表达:

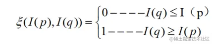
  其中p是窗口中心像素,q是窗口中心像素以外的其他像素,Np表示中心像素p的邻域。I(*)表示像素点*处的灰度值, ⊕为比特位的逐位连接运算。 ∈()运算则由下面公式定义:

  通过上文的公式可以得到了Cencus变换的一串二进制,基于Census变换的匹配代价计算方法是计算左右影像对应的两个像素的Census变换值的汉明(Hamming)距离,即匹配代价为:

  其中,T( p)为左图产生的二进制串,T(q)为右图产生的二进制串。Hamming距离即两个比特串的对应位不相同的数量,计算方法为将两个比特串进行亦或运算,再统计异或运算结果中的比特位中为1的个数。

  我们可以通过下图辅助理解Cencus匹配代价的计算方法,先分别计算出左图和右图中一定范围的Cencus变换的二进制串结果(上文已经介绍),然后对得到的两串二进制进行异或操作,得到结果中1的个数即为所求匹配代价(下图结果为2)。

  我们前面说到,AD和SAD算法都对光照较为敏感,这里的Cencus变换则对图片的明暗变化并不敏感,因为Cencus算法是比较的相对灰度关系,所以即使左右影像亮度不一致,也能得到较好的匹配效果。但是Cencus变换对重复区域的匹配效果不好,例如下图的两个领域窗口中灰度完全不同,但Cencus变换得到的代价完全相同。

   

AD-Cencus

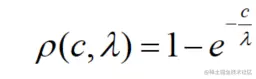
  前文已经介绍了AD算法和Cencus变换,显而易见,AD-Cencus是将AD和Census结合,这样就能对两种方式起到一个互补作用。Cencus算法对重复纹理的效果不好,而AD算法是基于单像素的,可以在一定程度上缓解Cencus算法对重复纹理处理棘手的问题。但是将两种算法结合存在算法结果尺度不一致的问题,需要进行归一化处理。,AD的结果是亮度差,范围是[0,255],而Census是比特串对应位值不相同的个数,范围为[0,N](N等于比特串的位数)。因此,需要通过归一化,将两者的结果归一化到相同的范围区间,AD-Census所采用的方法是一个值区间在[0,1]的自然指数函数:

  其中c是代价值,λ是控制参数,当c和λ都为正值时,这个函数的值区间在[0,1]的。并且c即代价值越大,函数值越大。因此可以通过该函数将任意代价值归一化到[0,1]的范围。

  最终,AD-Census的代价计算公式为:

  两个结果进行归一化后,最终的结果范围为[0,2]。       

下一篇:双目立体匹配之代价聚合