拓端tecdat|R语言马尔可夫链(Markov Chain, MC)模拟赌徒破产模型Gambler‘s Ruin Problem可视化

351 阅读2分钟

一起养成写作习惯!这是我参与「掘金日新计划 · 4 月更文挑战」的第2天,点击查看活动详情

\

原文链接:tecdat.cn/?p=26124 

原文出处:拓端数据部落公众号

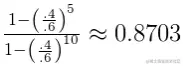
赌徒的破产问题是指玩家有获胜的概率p和失败的概率q。例如,让我们来看看一个技能游戏,玩家X可以通过接近目标,以0.6的概率击败玩家Y。游戏开始时,玩家X被分配到5分,玩家Y被分配到10分。每轮游戏后,玩家的积分要么减少一个,要么增加一个,我们可以确定玩家X将赢过玩家Y的概率。这类问题的应用范围很广。

这实际上是一个相当简单的问题,可以用纸笔解决,并确定一个确切的概率。不需要太多细节,我们可以通过来确定破产的概率.这个例子中结果是.

但这是一个相对枯燥的方法,编写一个R脚本会让一切变得更好。因此,这里是对同一问题的模拟,估计了同样的概率,而且还提供了关于这个游戏要玩多少次的分布的额外信息。

genin = function(n, xnt, y.t, x.p){


x.rnd = rbinom(n, 1, p=x.p)

x.u.m = cumsum(x.n)+x.cnt



rusim = replicate(nres, ge.(n=1000, xcn=5, .nt=10, xp=.6))

hist

x.anniln = apply(ri.sim==15, 2, which.max)

plot(mansate)


最受欢迎的见解

1.R语言泊松Poisson回归模型分析案例

2.R语言进行数值模拟:模拟泊松回归模型

3.r语言泊松回归分析

4.R语言对布丰投针(蒲丰投针)实验进行模拟和动态可视化

5.用R语言模拟混合制排队随机服务排队系统

6.GARCH(1,1),MA以及历史模拟法的VaR比较

7.R语言做复杂金融产品的几何布朗运动的模拟

8.R语言进行数值模拟:模拟泊松回归模型

9.R语言对巨灾风险下的再保险合同定价研究案例:广义线性模型和帕累托分布Pareto distributions