「LeetCode」94-二叉树的中序遍历⚡️

125 阅读2分钟

一起养成写作习惯!这是我参与「掘金日新计划 · 4 月更文挑战」的第1天,点击查看活动详情

大家好,我是速冻鱼🐟,一条水系前端💦,喜欢花里胡哨💐,持续沙雕🌲
欢迎小伙伴们加我微信:sudongyuer拉你进群
关注我的公众号:前端速冻鱼一起进步,期待与大家共同成长🥂

前言🌧️

算法,对前端人来说陌生又熟悉,很多时候我们都不会像后端工程师一样重视这项能力。但事实上,算法对每一个程序员来说,都有着不可撼动的地位。

因为开发的过程就是把实际问题转换成计算机可识别的指令,也就是《数据结构》里说的,「设计出数据结构,在施加以算法就行了」。

当然,学习也是有侧重点的,作为前端我们不需要像后端开发一样对算法全盘掌握,有些比较偏、不实用的类型和解法,只要稍做了解即可。

题目🦀

94. 二叉树的中序遍历

难度简单

给定一个二叉树的根节点 root ,返回 它的 中序 遍历

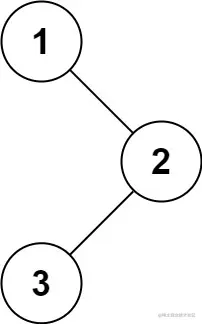
示例 1:

img

输入:root = [1,null,2,3]
输出:[1,3,2]

示例 2:

输入:root = []
输出:[]

示例 3:

输入:root = [1]
输出:[1]

提示:

  • 树中节点数目在范围 [0, 100]

  • -100 <= Node.val <= 100

进阶: 递归算法很简单,你可以通过迭代算法完成吗?

解题思路🌵

  • 中序遍历口诀
  • 左 根 右
  • 一般掌握公式即可
  • 确定初始值
  • 确定dfs公式
  • 确定边界条件
  • 确定计算结果在遍历中的位置
  • 最后返回即可

解题步骤🐂

  • 初始化result数组
  • 确定遍历方程
  • 确定边界条件
  • 根据题意,确定计算位置,由于是中序遍历,所以先进行左节点递归再计算 再递归遍历右节点
  • 最后返回结果即可

源码🔥

/**
 * Definition for a binary tree node.
 * function TreeNode(val, left, right) {
 *     this.val = (val===undefined ? 0 : val)
 *     this.left = (left===undefined ? null : left)
 *     this.right = (right===undefined ? null : right)
 * }
 */
/**
 * @param {TreeNode} root
 * @return {number[]}
 */
var inorderTraversal = function(root) {
    if(!root||root.length===0){
        return []
    }
    const result = []
    const inorder = (root)=>{
        if(!root){
            return
        }
        inorder(root.left)
        result.push(root.val)
        inorder(root.right)
    }

    inorder(root)
    return result
};

时间复杂度:O(n)

空间复杂度:O(n)

结束语🌞

那么鱼鱼的LeetCode算法篇的「LeetCode」94-二叉树的中序遍历⚡️就结束了,算法这个东西没有捷径,只能多写多练,多总结,文章的目的其实很简单,就是督促自己去完成算法练习并总结和输出,菜不菜不重要,但是热爱🔥,喜欢大家能够喜欢我的短文,也希望通过文章认识更多志同道合的朋友,如果你也喜欢折腾,欢迎加我好友,一起沙雕,一起进步

github🤖:sudongyu

个人博客👨‍💻:速冻鱼blog

vx👦:sudongyuer

写在最后

伙伴们,如果喜欢我的口水话给🐟🐟点一个赞👍或者关注➕都是对我最大的支持。