「LeetCode」92-反转链表||⚡️

107 阅读3分钟

Offer 驾到,掘友接招!我正在参与2022春招系列活动-刷题打卡任务,点击查看活动详情

大家好,我是速冻鱼🐟,一条水系前端💦,喜欢花里胡哨💐,持续沙雕🌲,是隔壁寒草🌿的好兄弟,刚开始写文章。 如果喜欢我的文章,可以关注➕点赞,为我注入能量,与我一同成长吧~

前言🌧️

算法,对前端人来说陌生又熟悉,很多时候我们都不会像后端工程师一样重视这项能力。但事实上,算法对每一个程序员来说,都有着不可撼动的地位。

因为开发的过程就是把实际问题转换成计算机可识别的指令,也就是《数据结构》里说的,「设计出数据结构,在施加以算法就行了」。

当然,学习也是有侧重点的,作为前端我们不需要像后端开发一样对算法全盘掌握,有些比较偏、不实用的类型和解法,只要稍做了解即可。

题目🦀

92. 反转链表 II

难度中等

给你单链表的头指针 head 和两个整数 leftright ,其中 left <= right 。请你反转从位置 left 到位置 right 的链表节点,返回 反转后的链表

示例 1:

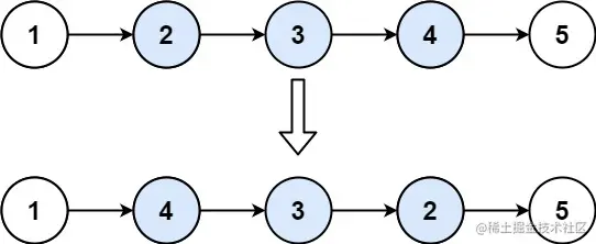
img

输入:head = [1,2,3,4,5], left = 2, right = 4
输出:[1,4,3,2,5]

示例 2:

输入:head = [5], left = 1, right = 1
输出:[5]

提示:

  • 链表中节点数目为 n

  • 1 <= n <= 500

  • -500 <= Node.val <= 500

  • 1 <= left <= right <= n

进阶: 你可以使用一趟扫描完成反转吗?

解题思路🌵

  • 反转链表,通常就会使用哨兵节点,来处理边界交换问题
  • 这道题,我才用先截取需要遍历的链表
  • 进行遍历后
  • 再拼接

image-20220220140553436

解题步骤🐂

  • 对边界条件做处理
  • 初始化哨兵节点,方便操作
  • 画图,根据图去写代码
  • 先找到需要遍历链表区间的左右链表
  • 并缓存需要遍历链表右侧节点的下一个节点,方便后边拼接
  • 反转区间链表
  • 进行拼接
  • 最后返回

源码🔥

/**
 * Definition for singly-linked list.
 * function ListNode(val, next) {
 *     this.val = (val===undefined ? 0 : val)
 *     this.next = (next===undefined ? null : next)
 * }
 */
/**
 * @param {ListNode} head
 * @param {number} left
 * @param {number} right
 * @return {ListNode}
 */
var reverseBetween = function(head, left, right) {
    let soldier = new ListNode(0,head)
    let pre = soldier;

    for(let i=0;i<left-1;i++){
        pre=pre.next
    }
    //找到需要反转的链表左节点
    let needReverseLeft = pre.next

    let needReverseRight=needReverseLeft

    //找到需要反转的链表右节点
    for(let i=0;i<right-left;i++){
        needReverseRight=needReverseRight.next;
    }
    //缓存需要反转链表右节点的节点
    let cachedRight=needReverseRight.next
    //切断链表
    needReverseRight.next=null

    //反转链表
    const reversed=reverse(needReverseLeft)
    //拼接链表
    pre.next=reversed
    needReverseLeft.next=cachedRight
    function reverse(cur){
        let pre = null;
        while(cur){
        const temp = cur.next
        cur.next = pre;
        pre = cur
        cur = temp
        }
        return pre
    }
    //最后返回
    return soldier.next
};

时间复杂度:O(n)

空间复杂度:O(1)

结束语🌞

那么鱼鱼的LeetCode算法篇的「LeetCode」92-反转链表||⚡️就结束了,算法这个东西没有捷径,只能多写多练,多总结,文章的目的其实很简单,就是督促自己去完成算法练习并总结和输出,菜不菜不重要,但是热爱🔥,喜欢大家能够喜欢我的短文,也希望通过文章认识更多志同道合的朋友,如果你也喜欢折腾,欢迎加我好友,一起沙雕,一起进步

github🤖:sudongyu

个人博客👨‍💻:速冻鱼blog

vx👦:sudongyuer

写在最后

伙伴们,如果喜欢我的口水话给🐟🐟点一个赞👍或者关注➕都是对我最大的支持。