力扣-二叉树的锯齿形层序遍历

680 阅读1分钟

Offer 驾到,掘友接招!我正在参与2022春招打卡活动,点击查看活动详情

前言

数据结构与算法属于开发人员的内功,不管前端技术怎么变,框架怎么更新,版本怎么迭代,它终究是不变的内容。 始终记得在参加字节青训营的时候,月影老师说过的一句话,不要问前端学不学算法。计算机学科的每一位都有必要了解算法,有写出高质量代码的潜意识

一、问题描述

给你二叉树的根节点 root ,返回其节点值的 锯齿形层序遍历 。(即先从左往右,再从右往左进行下一层遍历,以此类推,层与层之间交替进行)。

示例 1:

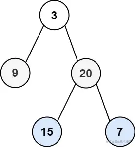
输入:root = [3,9,20,null,null,15,7]
输出:[[3],[20,9],[15,7]]

示例 2:

输入:root = [1]
输出:[[1]]

示例 3:

输入:root = []
输出:[]

 

提示:

  • 树中节点数目在范围 [0, 2000] 内
  • 100 <= Node.val <= 100

二、思路讲解

  • 从上向下一层层遍历,for 循环控制每一层从左向右遍历
  • 通过index来判断当前所在层级,其次判断当前是从左往右还是从右往左遍历
  • 每一个层级保留对应该层级的数组,用户存放该层级的所有节点值,至于是从左还是从右就是往数组身上插入的位置不同而已了
  • 迭代结束返回res即可
var zigzagLevelOrder = function(root) {
    const res = []
    const rec = (root,index)=>{
        if(!root) return
        if(!res[index]){
            res[index] = []
        }
       if(index%2==0){ // 0 2 4 从左往右
         res[index].push(root.val)
       }else{ // 1 3 5 从右往左
           res[index].unshift(root.val)
       }
        rec(root.left,index+1)
        rec(root.right,index+1)
    }
    rec(root,0)
    return res
};

image.png

后续

好了,本篇 力扣-二叉树的锯齿形层序遍历到这里就结束了,我是邵小白,一个在前端领域摸爬滚打的大三学生,欢迎👍评论。