【力扣刷题】25. K 个一组翻转链表

138 阅读3分钟

Offer 驾到,掘友接招!我正在参与2022春招打卡活动,点击查看活动详情

一、题目描述

来源:力扣(LeetCode)

给你一个链表,每 k 个节点一组进行翻转,请你返回翻转后的链表。

k 是一个正整数,它的值小于或等于链表的长度。

如果节点总数不是 k 的整数倍,那么请将最后剩余的节点保持原有顺序。

进阶:

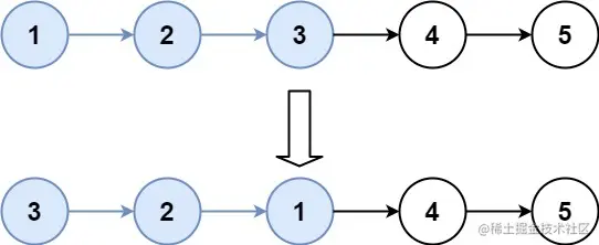
你可以设计一个只使用常数额外空间的算法来解决此问题吗? 你不能只是单纯的改变节点内部的值,而是需要实际进行节点交换。     示例 1:

image.png

输入: head = [1,2,3,4,5], k = 2
输出: [2,1,4,3,5]

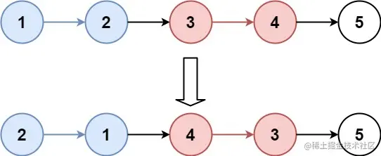
示例 2:

image.png

输入: head = [1,2,3,4,5], k = 3
输出: [3,2,1,4,5]

示例 3:

输入: head = [1,2,3,4,5], k = 1
输出: [1,2,3,4,5]

  示例 4:

输入: head = [1], k = 1
输出: [1]

 

提示:

  • 列表中节点的数量在范围 sz 内
  • 1 <= sz <= 5000
  • 0 <= Node.val <= 1000
  • 1 <= k <= sz

二、思路分析

  1. 统计链表的长度
  2. 计算链表翻转的次数 reverse_times=len/k;
  • 如果翻转次数为0,直接返回原链表即可。
  1. 定义多个变量
  • cur_time保存当前翻转的次数(可以用来确定翻转次数)
  • nhead虚拟头结点(一般链表题中都可定义一个不包含数据的哨兵头结点)
  • knext保存下一次翻转的链表头结点(防止后面的链表数据丢失)
  • cur_head当前需要翻转的部分链表的头结点,实际上是头部结点的前一个结点(便于做局部翻转)。
  • cur_tail当前翻转的部分链表的尾部结点,用于在翻转完成后,与knext进行连接,保证数据不会被丢失。
  1. 执行链表的翻转
    1. 将knext指向下一次翻转时候的链表头结点
    1. 使用头插法进行反转(注意要用cur_tail保存局部链表的第一个结点,翻转完成后,它将处于局部链表的最后一个位置,然后将它与后面的链表连接起来)
    1. 将尾部结点重新赋值给头部结点,并且让尾部结点的next指针指向knext
    1. 翻转次数+1
    1. 返回nhead.next;

三、代码实现

/**
 * Definition for singly-linked list.
 * public class ListNode {
 *     int val;
 *     ListNode next;
 *     ListNode() {}
 *     ListNode(int val) { this.val = val; }
 *     ListNode(int val, ListNode next) { this.val = val; this.next = next; }
 * }
 */
class Solution {
    public ListNode reverseKGroup(ListNode head, int k) {
        int len=0;                  //统计链表的长度
        ListNode plen=head;
        while(plen!=null){
            len++;
            plen=plen.next;
        }

        int reverse_times=len/k;     //计算链表的翻转次数
        if(k<=1 || reverse_times==0){
            return head;
        }

        ListNode knext=head;         //保存下一次翻转时候的链表头结点
        int cur_times=0;      //保存当前翻转次数
        ListNode nhead=new ListNode(-1);    //虚拟头结点,不包含任何数据
        ListNode cur_head=nhead;
        cur_head.next=head;
        ListNode cur_tail=null;
        while(cur_times<reverse_times){
            //将knext指向下一次翻转时候的链表头结点
            for(int i=0;i<k;i++){
                knext=knext.next;
            }

            //使用头插法进行反转            
            ListNode p=cur_head.next;        //保存当前需要头插的结点
            cur_tail=cur_head.next;
            ListNode next=null;         //保存反转时下一个结点的指针
            for(int i=0;i<k;i++){
                next=p.next;           
                p.next=cur_head.next;
                cur_head.next=p;
                p=next;
            }
            //将尾部结点重新赋值给头部结点,并且让尾部结点的next指针指向knext
            cur_head=cur_tail;
            cur_tail.next=knext;
            // System.out.println("3 "+knext.val);
            cur_times++;
        }        
        return nhead.next;
    }
}

四、运行结果

image.png

总结

参考了别人的解题,这道题在于确定要反转多少次,然后分组进行头插,剩下的接上就行了