【前端面试常见算法题系列】112. 路径总和(简单)

347 阅读2分钟

“Offer 驾到,掘友接招!我正在参与2022春招打卡活动,点击查看活动详情。”

一、题目描述

给你二叉树的根节点 root 和一个表示目标和的整数 targetSum 。判断该树中是否存在 根节点到叶子节点 的路径,这条路径上所有节点值相加等于目标和 targetSum 。如果存在,返回 true ;否则,返回 false

叶子节点 是指没有子节点的节点。  

示例 1: image.png

输入:root = [5,4,8,11,null,13,4,7,2,null,null,null,1], targetSum = 22
输出:true
解释:等于目标和的根节点到叶节点路径如上图所示。

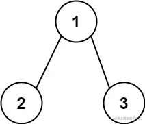
示例 2: image.png

输入:root = [1,2,3], targetSum = 5
输出:false
解释:树中存在两条根节点到叶子节点的路径:
(1 --> 2): 和为 3
(1 --> 3): 和为 4
不存在 sum = 5 的根节点到叶子节点的路径。

示例 3:

输入:root = [], targetSum = 0
输出:false
解释:由于树是空的,所以不存在根节点到叶子节点的路径。

提示:

  • 树中节点的数目在范围 [0, 5000]
  • -1000 <= Node.val <= 1000
  • -1000 <= targetSum <= 1000

二、思路分析

题意很简单,给一棵二叉树,判断 在“从根节点到叶子结点”的这条路径上,所有节点值加起来能否等于 targetSum

很快就可以想到一种解法:

  • 维护一个变量 sum ,表示路径上的节点值的总和。
  • 每次遍历的时候,sum 就加上当前节点值,在当前节点无子节点的情况下判断 sum 是否等于目标值,如果当前节点有子节点就继续遍历。

注意:在遍历完叶子节点后,发现 sum 依然不等于 targetSum ,就需要将 sum 减去叶子节点的值,判断其他路径的情况。

除此之外,还有另一种解法:

  • 上面的解法是维护遍历到的节点的总值,但这种方法是维护目标值。也就是在每次遍历的时候,将目标值 targetSum 减去当前节点值,等价于第一种方法中 sum 加上当前节点值。
  • 然后以递归的方式遍历二叉树,因此递归函数中的参数 root 为要遍历的子树,targetSum 为 自身减去当前节点值 之后的值。
  • 结束递归的条件为:在当前节点无子节点的情况下,判断当前节点值是否与 targetSum 相同。

注意:递归时是左右子树都要递归遍历的,但只要有一条路径满足题意就可以了,因此使用 || 运算符即可。

三、AC 代码

解法一:

class Solution {
public:

    int target;
    int sum = 0;
    bool flag = false;

    bool hasPathSum(TreeNode* root, int targetSum) {
        if (!root) return false;
        target = targetSum;
        hasPathSum(root);
        return flag;
    }
    void hasPathSum(TreeNode* root) {
        if (!root) return;

        sum += root -> val;
        if (!root -> left && !root -> right) {
            if (sum == target) {
                flag = true;
            }
        }
        hasPathSum(root -> left);
        hasPathSum(root -> right);
        sum -= root -> val;
    }
};

解法二:

/**
 * Definition for a binary tree node.
 * struct TreeNode {
 *     int val;
 *     TreeNode *left;
 *     TreeNode *right;
 *     TreeNode() : val(0), left(nullptr), right(nullptr) {}
 *     TreeNode(int x) : val(x), left(nullptr), right(nullptr) {}
 *     TreeNode(int x, TreeNode *left, TreeNode *right) : val(x), left(left), right(right) {}
 * };
 */
class Solution {
public:
    bool hasPathSum(TreeNode* root, int targetSum) {
        if (!root) return false;
        if (!root -> left && !root -> right) {
            return root -> val == targetSum;
        }
        return hasPathSum(root -> left, targetSum - root -> val) || hasPathSum(root -> right, targetSum - root -> val);
    }
};