Leetcode二叉搜索树中的插入操作

113 阅读1分钟

Offer 驾到,掘友接招!我正在参与2022春招打卡活动,点击查看活动详情

一、题目描述

给定二叉搜索树(BST)的根节点 root 和要插入树中的值 value ,将值插入二叉搜索树。 返回插入后二叉搜索树的根节点。 输入数据 保证 ,新值和原始二叉搜索树中的任意节点值都不同。

注意,可能存在多种有效的插入方式,只要树在插入后仍保持为二叉搜索树即可。 你可以返回 任意有效的结果。

例1:


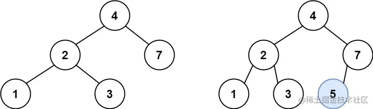
输入: root = [4,2,7,1,3], val = 5
输出: [4,2,7,1,3,5]

例2:

输入:root = [40,20,60,10,30,50,70], val = 25
输出:[40,20,60,10,30,50,70,null,null,25]

例3:

输入: root = [4,2,7,1,3,null,null,null,null,null,null], val = 5
输出: [4,2,7,1,3,5]

二、解题思路

接着做二叉搜索树的题目,这道题我做法上是简单地按照二叉搜索树的性质把待插入元素往下放直到找到一个合适的空节点放入。虽然这种思路比较清晰,但AC答案的时间和空间消耗都排行在后10%。

三、AC代码

var insertIntoBST = function(root, val) {
    if(!root) return new TreeNode(val);;
    let insert = function(node){
        if(node.val>val){
            if(node.left){
                insert(node.left);
            }else{
                node.left = new TreeNode(val);
            }
        }else{
            if(node.right){
                insert(node.right);
            }else{
                node.right = new TreeNode(val);
            }
        }
    }
    insert(root);
    return root;
};

四、总结

翻到题解中最简介的,贴在这里,显然思路是一样的,但是在处理插入操作和进行左右树递归时更为简洁。

var insertIntoBST = function(root, val) { 
    if(root === null){ 
        let node = new TreeNode(val) 
        return node//返回节点给上一层“接住” 
    } 
    if(root.val > val){ 
        root.left = insertIntoBST(root.left, val) 
    } 
    if(root.val < val ){ 
        root.right = insertIntoBST(root.right, val) 
    } 
    return root; 
};