【路飞】112. 路径总和

140 阅读1分钟

112. 路径总和

给你二叉树的根节点 root 和一个表示目标和的整数 targetSum 。判断该树中是否存在 根节点到叶子节点 的路径,这条路径上所有节点值相加等于目标和 targetSum 。如果存在,返回 true ;否则,返回 false 。

叶子节点 是指没有子节点的节点。

示例 1:

输入:root = [5,4,8,11,null,13,4,7,2,null,null,null,1], targetSum = 22
输出:true
解释:等于目标和的根节点到叶节点路径如上图所示。

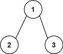
示例 2:

输入:root = [1,2,3], targetSum = 5
输出:false
解释:树中存在两条根节点到叶子节点的路径:
(1 --> 2): 和为 3
(1 --> 3): 和为 4
不存在 sum = 5 的根节点到叶子节点的路径。

示例 3:

输入: root = [], targetSum = 0
输出: false
解释: 由于树是空的,所以不存在根节点到叶子节点的路径。

解题思路:这题是需要判断从根节点开始一直到该线路最后一个子节点和是否有等于targetSum的,我们可以通过每条线路从根节点开始,用targetSum减去当前节点值,直到到之后一个节点等于targetSum就可以判断是否存在,代码如下:

var hasPathSum = function(root, targetSum) {
    //root不存在就返回false
    if(!root) return false;
    //如果左右节点都不存在就判断是否等于根节点
    if(!root.left && !root.right) return root.val == targetSum;
    //遍历左边子节点,通过每一次的相减操作判断是否跟根节点相等
    if(root.left && hasPathSum(root.left,targetSum - root.val)) return true;
     //遍历右边子节点,通过每一次的相减操作判断是否跟根节点相等
    if(root.right && hasPathSum(root.right,targetSum - root.val)) return true;
    return false;
};