轻松入门自然语言处理系列 03 机器学习基础-逻辑回归

904 阅读24分钟

前言

本文主要介绍了机器学习最重要的基础之一,逻辑回归,包括条件概率、逻辑回归的目标函数、梯度下降法、随机梯度下降法,以及预测银行客户是否开设账户的案例。

一、逻辑回归中的条件概率

1.逻辑回归的应用

有一些经典的二分类问题:

  • 预测贷款违约状况(会违约/不会违约)
  • 情感分析(正面/负面)
  • 预测广告点击率(会点击/不会点击)
  • 预测疾病(阳性/阴性)

如下:

在这里插入图片描述

这些二分类问题都可以使用逻辑回归来解决。逻辑回归是二分类问题的“神器”,非常简单和实用,是在线上系统中使用率最高的模型。

2.理解基准

基准(baseline)在AI建模过程中非常重要。搭建模型可以从简单到复杂,基准就是一个简单的模型,可以用于验证模型的效果,同时用来验证待验证模型的可行性。简单来讲,在设计模型的阶段,首先试图通过简单的方法来快速把系统搭起来,之后逐步把模块细化,从而不断得到更好的解决方案。对于分类任务,逻辑回归模型可以称得上是最好的基准,也是比较靠谱的基准,因此搭建任何分类模型时首先可以考虑逻辑回归,之后再逐步尝试更复杂的模型。

如下:

在这里插入图片描述

可以看到,模型效果一般会存在一个上限,此时可以决策是否需要进一步使用更复杂的模型,以确定投入产出比,从而决定是否需要进一步选择更复杂的模型。不同的应用场景有自己的门槛,从baseline中可以大概确定效果的上限,以决策是否进行当前的项目。有了基准作为参考值,再测试自己的模型的效果时,如果与预期存在误差,可以更好地定位到错误。因此在AI建模时,一定要从基准开始搭建

在实际工作中,切忌一上来就使用复杂的模型,这是不可取的。实际上,刚步入AI行业的人士经常会犯这个问题,一上来就想使用深度学习来做训练,比如提出要使用BERT,或者深度增强学习等等。这些都不是正确的做法。

3.分类问题

分类问题举例如下:

在这里插入图片描述

可以看到,该问题实际就是一个二分类问题。

二分类问题的分类规则示意如下:

在这里插入图片描述

这里的核心问题是:如何通过条件概率p(y|x)来描述x和y之间的关系。逻辑回归实际上是基于线性回归模型构建起来的,所以这里也希望通过线性回归方程一步步来构造上述的条件概率p(y|x)。

有效的概率需要具备的性质:

在这里插入图片描述

改造线性回归WTx+bW^Tx+b使得它的值域映射到(0 , 1)区间,可以转化为把正无穷到负无穷区间的值映射到(0,1)区间。只要有方法做到这一点,我们就可以表示成概率了。这个答案就是逻辑函数。

4.逻辑函数

逻辑函数的形式和可视化如下:

在这里插入图片描述

可以看到,逻辑函数将(-∞, +∞)的区间转化到了(0, 1)之间,从而可以将y与x的映射转化为概率来表示。

逻辑函数的应用非常广泛,特别是在神经网络中处处可见,很大程度上是源于它不可或缺的性质:可以把任意区间的值映射到**(0, 1)区间。这样的值既可以作为概率,也可以作为一种权重。另外,由于大多数模型在训练时涉及到导数(derivative)的计算,同时逻辑函数的导数具有极简单的形态**,这也使得逻辑函数受到了很大的欢迎。

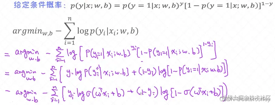
5.样本条件概率

把线性回归的表达式和逻辑函数结合在一起,就可以得到条件概率的表达式:

在这里插入图片描述

其中,Y的取值可能为0或1;

逻辑回归针对的是二分类问题,所以一个样本必须要属于其中的某一个分类。这就意味着,条件概率p(y=1|x)和p(y=0|x)之和一定会等于1。

两个类别表达式可以合并,如下:

在这里插入图片描述

二、逻辑回归的目标函数

1.最大似然估计Maximum Likelihood Estimation

模型训练的过程即为优化目标函数,其中的一个重要方法就是最大似然估计(Maximum Likelihood Estimation)。最大似然估计是机器学习领域最为常用的用来构造目标函数(Objective Function)的方法,它的核心思想是根据观测到的结果来估计其中的未知参数,可以引导我们去构造模型的目标函数,以及求出使目标函数最大或者最小的参数值。

对最大似然估计一个比较抽象的解释是,假如有一个未知的模型(看作黑盒),并且它产生了很多能观测到的样本。我们可以通过最大化这些样本的概率反过来求出模型的最优参数,这个过程称之为最大似然估计。

一个示意如下:

在这里插入图片描述

根据得到的样本来反推,估计未知参数θ,这个过程中就用到了最大似然估计。最大似然估计是一种方法论,可以理解为一种解决问题的框架。

举例如下:

假设有一枚不均匀的硬币,出现正面或老反面的概率是不同的,我们设定出现正面的概率为θ,我们用H来表示正面,T来表示反面,当我们投掷了6次之后得到了的结果为H, T, T, H, H, H,而且我们假定每次投掷事件都是互相独立的,则θ为多少?

通过最大似然估计求解参数的过程如下:

在这里插入图片描述

需要预测未知的参数,假定再参数θ下产生了看得见的样本,通过最大化看得见的样本的概率来反推出未知参数的值,这就是最大似然估计的核心思想,从而转化为优化问题。

2.逻辑回归的似然函数

对于单个样本的条件概率已经定义过了,这个概率可以看作似然概率。需要进一步把所有的样本全部考虑进来,得到的就是所有样本的似然概率。

所有样本的似然概率如下:

在这里插入图片描述

有了所有样本的似然概率之后,目标就是要求出让这个似然概率最大化的模型的参数(对于本案例的逻辑回归模型就是w、b),这个过程称之为最大似然估计。

3.逻辑回归的最大似然估计

需要最大化的目标函数如下:

在这里插入图片描述

我们需要找出w、b,使得目标函数值取到最大。这就是一个优化问题。

得到了逻辑回归的目标函数之后,首先进行简化,就是把乘积的形式改写成加法形式,再转化为最小化问题:

在这里插入图片描述

这对于后续的运算有很大的帮助,因为很多概率的乘积很容易形成特别小的数,进而产生underflow等现象。我们在程序中可能会看到inf、nan等结果,这时候可能需要去检查是否出现了underflow、overflow或者除数为0的现象。

此时还需要具体化条件概率的表达式,并使用优化方法来求解最优的w和b,如下:

在这里插入图片描述

经过一系列的简化操作之后,不能继续再简化了,剩下的工作就是要寻找让目标函数最小化的参数w、b。

三、梯度下降法

1.求解函数的最小值最大值

求解函数的最大值/最小值及其对应的最优参数(例如w和b)时,有两种主流方法:

  • 把导数设置为0 求解目标函数对于待求参数的倒数,并将导数设置为0,以求解得到最优参数。 这种方法也称为解析解(Analytic Solution)。需要注意,并不是所有的目标函数都可以通过把导数设置为0的方式来求解,一个经典的例子就是逻辑回归的目标函数。可以试着按照把导数设置为0的方式来求解,会发现是行不通的。
  • 基于循环迭代式的算法来求解
    对于逻辑回归目标函数的问题需要采用另外一种更通用的方法——迭代式的优化算法。其中最经典的就是梯度下降法

梯度下降法属于迭代式的算法,这个算法不能马上得到最优解,而是通过循环的方式不断更新参数,以逐步接近最优解。

梯度下降法示意如下:

在这里插入图片描述

2.梯度下降法

假设有函数f(x),求使得f(x)值最小的参数x,可根据梯度下降法来求解最优解x:

在这里插入图片描述

其中,η是学习率(learning rate),是梯度下降法的一个重要参数,用于控制学习的步长,可以把它看作是可调节的参数(也称之为超参数)。学习率对于收敛以及对最终的结果起到很重要的作用。

梯度下降法非常实用,几乎所有的模型都可以使用梯度下降法来训练。这也说明此方法是具有通用性的,不管问题有多复杂。特别是对于深度学习,它的作用无可替代,反向传播算法(back-propagation)其实本质上就是梯度下降法。需要注意的是梯度下降法依赖于求导。

举例如下:

在这里插入图片描述

再举一个例子如下:

在这里插入图片描述

现在进一步分析学习率(learning rate)的影响:

学习率比较小

前进步长较小、参数更新比较慢,收敛的速度会比较慢:

在这里插入图片描述

学习率比较大

前进步长较大、参数更新比较快,学习率特别大时算法不稳定,有可能不收敛:

在这里插入图片描述

因此需要找到一个合适的学习率,使得既能保证学习得比较快,又能确保收敛。

梯度下降法过程中,判断迭代过程是否已经收敛的2个标准:

  • 在相邻两个时间段损失函数没有任何变化或者变化很小
  • 在相邻两个时间段参数的值没有变化或者变化很小

3.逻辑函数求导

梯度下降法的核心是对函数的求导。逻辑回归的目标函数本身具有一定的复杂度,其中就涉及到对逻辑函数的求导,先对逻辑函数进行求导,如下:

在这里插入图片描述

4.逻辑回归的梯度下降法

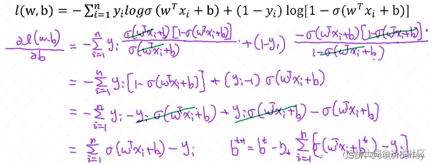
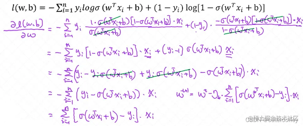
现在通过梯度下降法来求解逻辑回归,即最小化i=1nyilogσ(wTxi+b)+(1yi)log[1σ(wTxi+b)]-\sum_{i=1}^{n} y_{i} \log \sigma\left(w^{T} x_{i}+\mathrm{b}\right)+\left(1-y_{i}\right) \log \left[1-\sigma\left(w^{T} x_{i}+\mathrm{b}\right)\right]的值。对于逻辑回归,有两组参数分别为w、b,梯度下降依赖于求导,所以求导的关键也就围绕这两组参数。这个过程中会涉及到一些复合函数的求导法则。

先求解参数w的更新公式:

在这里插入图片描述

再求解参数b的更新公式:

在这里插入图片描述

最终结果为:

在这里插入图片描述

最优解有2种情况,分别是全局最优解和局部最优解,如下:

在这里插入图片描述

对于凸函数来说,只有一个全局最优解,通过梯度下降法找到的最优解就是全局最优解;而对于非凸函数来说,有一个全局最优解和多个局部最优解,因此找到的最优解不一定保证就是全局最优解。判断一个函数是否是凸函数属于凸规划的范畴。

其中,逻辑函数的梯度函数属于凸函数,因此找到的最优解就是全局最优解。所以使用梯度下降法来求解逻辑回归的最优解时,不管怎么初始化,结果是一样的。主要的原因是逻辑回归的目标函数为凸函数。如果一个函数为凸函数,它只有全局最优解,所以不管怎么初始化,最后收敛到的结果是同一个点。

四、随机梯度下降法

1.梯度下降法的缺点

在这里插入图片描述

从参数的更新公式可以看到,计算量与数据量n有关,准确地来说,计算复杂度与数据量呈线性关系,当数据量较大时,显然就会带来很大的计算量,每一次迭代所花费的时间成本是很高的,因此更新参数的效率可能就会降低。举个例子,当数据集里有一百万个样本的时候,每一次的参数更新就需要循环所有的样本并把它们的梯度做累加,计算量可想而知。

2.随机梯度下降法

随机梯度下降法(SGD)可以看作是梯度下降法的极端的情况。在梯度下降法里,每次的参数更新依赖于所有的样本。然而,在随机梯度下降法里,每一次的迭代不再依赖于所有样本的梯度之和,而是仅仅依赖于其中一个样本的梯度。

随机梯度下降法过程如下:

在这里插入图片描述

相比于梯度下降法,随机梯度下降法每次迭代只随机选择一个样本来进行计算,而不是选择所有的样本,通过很“便宜”的方式获得梯度,并频繁地对参数进行迭代更新,因此更新的速度会更快,这有助于在更短的时间内得到收敛结果。

SGD的收敛效率通常是更高的,而且有些时候SGD的最后找出来的解更优质,相比于GD准确率上升。但是由于每次更新只依赖于单个样本,即只用一个样本的梯度来估计所有样本的梯度之和,因此得到的梯度是有一定噪声的,并且不太稳定,因此损失函数的下降会有一定波动。但只要实现合理,大的趋势是沿着好的方向(下降)发展的。为了部分解决这个问题,我们通常会把学习率设置为较小的值,这样可以有效削弱梯度计算中带来的不稳定性。

3.小批量梯度下降法

梯度下降法和随机梯度下降法其实可以看作是两个极端,前者在计算梯度时考虑所有的样本,后者则仅仅考虑其中的一个样本,因此梯度下降法和随机梯度下降法各有优点和缺点。

在这里插入图片描述

此时可以在两者之中进行折中,吸收两者的优点、规避两者的缺点,这就是小批量梯度下降法(mini-batch gradient descent),它每次从样本中随机选择一部分子集,并基于这些选出来的样本计算梯度,并做参数的更新,保证了既快又稳定。其中,每次选择的样本量m是一个超参数,一般通过人工方式来调节,可以设置为32、50、64或100。

4.基于小批量梯度下降法从零实现逻辑回归

实现如下:

# -*- coding: utf-8 -*-

'''
@Author   :   Corley
@Time     :   2022-02-21 13:25
@Project  :   NLPDevilCamp-mgd
小批量梯度下降法
'''

# 导入相应的库
import numpy as np
import matplotlib.pyplot as plt
from sklearn.linear_model import LogisticRegression


# 实现sigmoid函数
def sigmoid(x):
    return 1 / (1 + np.exp(-x))


# 计算log likelihood
def log_likelihood(X, y, w, b):
    """
    针对于所有的样本数据,计算(负的)log likelihood,也叫做cross-entropy loss
    这个值越小越好
    X: 训练数据(特征向量), 大小为N * D
    y: 训练数据(标签),一维的向量,长度为N
    w: 模型的参数, 一维的向量,长度为D
    b: 模型的偏移量,标量
    """
    # 首先按照标签来提取正样本和负样本的下标
    pos, neg = np.where(y == 1), np.where(y == 0)
    # 对于正样本计算 loss, 这里我们使用了matrix operation。 如果把每一个样本都循环一遍效率会很低。
    pos_sum = np.sum(np.log(sigmoid(np.dot(X[pos], w) + b)))
    # 对于负样本计算 loss
    neg_sum = np.sum(np.log(1 - sigmoid(np.dot(X[neg], w) + b)))
    # 返回cross entropy loss
    return -(pos_sum + neg_sum)


# 实现逻辑回归模型
def logistic_regression_minibatch(X, y, num_steps, learning_rate):
    """
    基于梯度下降法实现逻辑回归模型
    X: 训练数据(特征向量), 大小为N * D
    y: 训练数据(标签),一维的向量,长度为N
    num_steps: 梯度下降法的迭代次数
    learning_rate: 步长
    """
    w, b = np.zeros(X.shape[1]), 0
    for step in range(num_steps):
        # 随机采样一个batch, batch大小为100
        batch = np.random.choice(X.shape[0], 100)
        X_batch, y_batch = X[batch], y[batch]
        # 计算预测值与实际值之间的误差
        error = sigmoid(np.dot(X_batch, w) + b) - y_batch
        # 对于w, b的梯度计算
        grad_w = np.matmul(X_batch.T, error)
        grad_b = np.sum(error)
        # 对于w, b的梯度更新
        w = w - learning_rate * grad_w
        b = b - learning_rate * grad_b
        # 每隔一段时间,计算一下log likelihood,看看有没有变化
        # 正常情况下, 它会慢慢变小,最后收敛
        if step % 10000 == 0:
            print(log_likelihood(X, y, w, b))
    return w, b


if __name__ == '__main__':
    # 随机生成样本数据。 二分类问题,每一个类别生成5000个样本数据
    num_observations = 5000
    x1 = np.random.multivariate_normal([0, 0], [[1, .75], [.75, 1]], num_observations)
    x2 = np.random.multivariate_normal([1, 4], [[1, .75], [.75, 1]], num_observations)
    X = np.vstack((x1, x2)).astype(np.float32)
    y = np.hstack((np.zeros(num_observations), np.ones(num_observations)))
    print(X.shape, y.shape)
    # 数据的可视化
    plt.figure(figsize=(12, 8))
    plt.scatter(X[:, 0], X[:, 1], c=y, alpha=.4)
    plt.show()

    w, b = logistic_regression_minibatch(X, y, num_steps=500000, learning_rate=5e-4)
    print("自定义的逻辑回归的参数w, b分别为: ", w, b)

    # 这里我们直接调用sklearn的模块来训练,看看跟自己手写的有没有区别。如果结果一样就说明是正确的!
    # C设置一个很大的值,意味着不想加入正则项
    clf = LogisticRegression(fit_intercept=True, C=1e15)
    clf.fit(X, y)
    print("sklearn的逻辑回归的参数w, b分别为: ", clf.coef_[0], clf.intercept_[0], )


输出:

(10000, 2) (10000,)
6456.079337492904
252.61723903340507
207.2599674752204
190.2482118365183
181.2258806322247
175.70250837511242
172.1469799496025
169.42402800140385
167.48050073469278
165.99127124664312
164.87442305886168
163.92801766677047
163.24327756952343
162.63901476606844
162.14005293987447
161.69212583923496
161.35096187895385
161.22873475722486
160.81951964316465
160.605551968888
160.44293658603038
160.30606827535223
160.1363754760282
160.01920664563855
159.94308983490592
159.96897449656237
159.80386842353911
159.709997638158
159.69918151092125
159.61997882719152
159.56199544781992
159.5750519330163
159.6000108282866
159.47238691041457
159.4387873972991
159.4373229495451
159.388153955921
159.4263532183712
159.34796773634417
159.33595853070108
159.32089313081423
159.36020474342533
159.3174337952185
159.2967384108
159.29075249806633
159.31540388014997
159.2748102227836
159.3116809830563
159.2738219648989
159.29578895200527
自定义的逻辑回归的参数w, b分别为:  [-4.69480583  7.60232553] -12.91508509920719
sklearn的逻辑回归的参数w, b分别为:  [-4.77246524  7.72230433] -13.126019068675237

可以看到,自己使用小批量梯度下降实现的逻辑回归与scikit-learn库实现的结果比较相近。

5.不同算法之间的比较

3种梯度下降算法的比较如下:

在这里插入图片描述

更多可参考zhuanlan.zhihu.com/p/25765735

对于各类梯度下降法做一个总结:

  • 在实际应用中,最常用的方法为小批量梯度下降法

    • 小批量梯度下降法有助于更好地利用GPU的计算能力 GPU擅长进行并行计算,小批量样本与GPU有非常好的默契,所以这样的小数量样本可以同时被GPU同时处理,从而提高计算效率,因此小批量梯度下降法的实用性是最高的。
    • 小批量梯度下降法折中了梯度下降法和随机梯度下降法各自的优缺点,更好地解决梯度噪声的问题,更新更加稳定。
  • 随机梯度下降法或者小批量梯度下降法有助于解决鞍点(Saddle Point)的问题。 鞍点如下: 在这里插入图片描述

    鞍点有可能被误以为是一个最优值点。对于鞍点来说,随机梯度下降法的表现可能更好,因为其随机性给鞍点带来的噪声很大可能会使下一个更新的点跳出鞍点附近,而梯度下降法的稳定性不一定能够跳出鞍点附近。

五、案例:预测银行客户是否会开设定期存款账户

1.问题描述

一个具体的问题:基于用户的相关信息(如年龄,教育程度、婚姻状况等)来预测是否用户未来会有开设定期存款账户的需求。 这种问题在银行业务上很常见,对于银行来讲,他们希望挖掘出一些潜在的客户,并精准地提供一些相关的服务。 这个问题是很经典的二分类问题(预测结果为会开设或者不会开设),很适合用逻辑回归来解决。

案例会涉及到如下几个方面的内容:

  • 数据的理解和分析,具体分析哪一个特征对结果影响比较大
  • 独热编码的表示,对于类别特征需要将其转换成独热编码的形式
  • 逻辑回归的使用
  • 精确率、召回率、F1-Score的使用

2.数据理解

理解数据是解决问题的第一步,先从多方位来理解一下数据本身的一些特点,比如哪些特征具有更好地预测能力,下面给出了部分数据的快照以及字段的说明。

数据示例如下:

在这里插入图片描述

每个字段及其含义如下:

在这里插入图片描述

先查看数据基本信息,代码如下:

data = data.dropna()

data['y'] = data['y'].apply(lambda x: 1 if x == 'yes' else 0)

display(data.shape, list(data.columns))

输出:

(41188, 21)
['age',
 'job',
 'marital',
 'education',
 'default',
 'housing',
 'loan',
 'contact',
 'month',
 'day_of_week',
 'duration',
 'campaign',
 'pdays',
 'previous',
 'poutcome',
 'emp.var.rate',
 'cons.price.idx',
 'cons.conf.idx',
 'euribor3m',
 'nr.employed',
 'y']

查看数据占比:

# 查看数据占比
# 查看正样本和负样本的概率
count_no_sub = len(data[data['y'] == 0])  # 负样本个数
pct_of_no_sub = count_no_sub / len(data)   # 负样本比例
pct_of_sub = 1 - pct_of_no_sub             # 正样本比例
print('未开户的比例:%.2f%%' % (pct_of_no_sub * 100))
print('已开户的比例:%.2f%%' % (pct_of_sub * 100))

输出:

未开户的比例:88.73%
已开户的比例:11.27%

从数据中可以看出,开户的比例比未开户的比例要小很多,数据分布不够平衡,但是属于正常区间。如果数据失衡很严重,则需要进行一定的处理。

对于每一个特征,也可以做一些分析,如观察哪些特征对最后的预测产生更重要的影响。对于这些特征的分析我们可以通过一些可视化的分析即可以得到。

Job字段

在这里插入图片描述

Marital Status字段

在这里插入图片描述

Education字段

在这里插入图片描述

Day of week字段

在这里插入图片描述

从图中来发掘一个字段不同的值对y的预测是否有关,如果这个字段的值不同,预测的值也不同,则可以说明这个字段对y是有影响的。

可以看到,Job字段不同,分布不同,退休人士和学生相对来说购买比例更大,所以Job字段对y有影响;

同时单身和未知购买比例更大,因此婚姻状况与购买意愿之间存在一定的关系;

教育也为购买意愿提供了有用信息;

而Day of week字段之间分布相对比较均匀,对预测购买没有太大的帮助。

通过这样的方式,可以对每个字段分析,同时对每个字段的作用有更清晰的认知,如果某些字段对预测有帮助,则可以更加深入地对这些字段进行探讨,并去掉不重要的字段。

特征选择:

对特征本身的重要性有大概的认知之后,可以选择把那些关联度不高的特征可以从数据中剔除掉。对于特征个数很多的数据来讲,这种操作还是非常有效的。但由于目前案例的数据特征并没有特别多,在这里先保留所有的特征。关于特征选择,其实有很多不同的方法如根据相关性来选择、根据贪心算法来选择、根据树模型来选择等等。

3.数据预处理

类别变量和独热编码:

对于类别型的字段,例如性别、学历、课程等,如学历的本科、硕士、博士,因为模型的输入一定是数量化的信息,所以在放到模型之前需要做特殊的处理,此时就需要进行独热编码(one-hot encoding)。

举例如下:

在这里插入图片描述

在进行独热编码时,即取一个向量,长度与取值个数相等,只有一个位置为1、其余位置为0,为1的位置即表示了当前要编码的取值;同时,每个字段各个取值之间的顺序是没有关系的,只要保证每个取值都是唯一的即可。

独热编码的转化如下:

在这里插入图片描述

经过转化后,得到的新数据就可以输入模型进行训练。

同时需要注意,如果一个类别型变量的取值很多,则转化后的数据维度也会变得很大。

现在使用独热编码对原始数据进行独热编码,如下:

# 类别型变量需要转换成独热编码形式,列出所有类别型变量
cat_vars = ['job', 'marital', 'education', 'default', 'housing', 'loan', 'contact', 'month', 'day_of_week', 'poutcome']
for var in cat_vars:
    # 调用pandas.getdummies方法进行独热编码
    cat_list = pd.get_dummies(data[var], prefix=var)
    data = data.join(cat_list)
    
data.head()

输出:

在这里插入图片描述

查看数据维度:

display(data.shape, list(data.columns))

输出:

(41188, 74)
['age',
 'job',
 'marital',
 'education',
 'default',
 'housing',
 'loan',
 'contact',
 'month',
 'day_of_week',
 'duration',
 'campaign',
 'pdays',
 'previous',
 'poutcome',
 'emp.var.rate',
 'cons.price.idx',
 'cons.conf.idx',
 'euribor3m',
 'nr.employed',
 'y',
 'job_admin.',
 'job_blue-collar',
 'job_entrepreneur',
 'job_housemaid',
 'job_management',
 'job_retired',
 'job_self-employed',
 'job_services',
 'job_student',
 'job_technician',
 'job_unemployed',
 'job_unknown',
 'marital_divorced',
 'marital_married',
 'marital_single',
 'marital_unknown',
 'education_basic.4y',
 'education_basic.6y',
 'education_basic.9y',
 'education_high.school',
 'education_illiterate',
 'education_professional.course',
 'education_university.degree',
 'education_unknown',
 'default_no',
 'default_unknown',
 'default_yes',
 'housing_no',
 'housing_unknown',
 'housing_yes',
 'loan_no',
 'loan_unknown',
 'loan_yes',
 'contact_cellular',
 'contact_telephone',
 'month_apr',
 'month_aug',
 'month_dec',
 'month_jul',
 'month_jun',
 'month_mar',
 'month_may',
 'month_nov',
 'month_oct',
 'month_sep',
 'day_of_week_fri',
 'day_of_week_mon',
 'day_of_week_thu',
 'day_of_week_tue',
 'day_of_week_wed',
 'poutcome_failure',
 'poutcome_nonexistent',
 'poutcome_success']

可以看到,进行独热编码后,数据的维度扩大。

独热编码是对类别型变量最常用的编码方式。 一般来讲,独热编码的转换会让特征维度上升,比如对于一个类别型变量“城市”,可能的取值为1000多个,那当把这个变量转换成独热编码之后就变成了1000多维的向量。

4.模型训练

模型的训练代码如下:

(1)划分特征和标签

# 划分数据集中的特征和标签
X = data.loc[:, data.columns != 'y']
y = data.loc[:, data.columns == 'y'].values.ravel()

display(X.shape, y.shape)

输出:

(41188, 63)
(41188,)

(2)划分训练数据和测试数据

# 把数据分为训练和测试数据
X_train, X_test, y_train, y_test = train_test_split(X, y, test_size=0.3, random_state=0)

display(X_train.shape, X_test.shape, y_train.shape, y_test.shape)

输出:

(28831, 63)
(12357, 63)
(28831,)
(12357,)

(3)使用逻辑回归模型进行训练

# 初始化逻辑回归模型并在训练数据上进行训练
log_reg = LogisticRegression(max_iter=10000)

log_reg.fit(X_train,y_train)

5.模型评估

对于本案例,标签类型的占比是很不平衡的,这种数据称之为不平衡数据(imbalanced data)。 对于不平衡数据,评估标准上也需要格外地注意,因为选错了评估标准可能导致建模本身失去了意义。

进行模型评估时,有多个指标。

精确率(Precision)与召回率(Recall)如下:

在这里插入图片描述

精确率与召回率是二分类问题很重要的指标,因为很多数据是不均衡的数据,对这类数据来说这两个指标可以更好地评估模型。

在数据不平衡的场景下,准确率会失去意义。因为即使不训练任何的模型,直接把所有的样本分类成占比高的样本,准确率仍然很高,但是实际上是没有意义的。在这种情况下,倾向于使用另外一种评估标准F1-Score。F1-Score如下:

在这里插入图片描述

可以看到,分别得到了正样本和负样本的F1-Score。如果想得到所有样本的F1-Score,则可以直接对正负样本的F1-Score求均值即可。

先对本模型进行预测,如下:

# 进行预测
y_pred = log_reg.predict(X_test)

再进行评估,如下:

# 计算F1-Score
print(classification_report(y_test, y_pred))

输出:

              precision    recall  f1-score   support

           0       0.93      0.97      0.95     10969
           1       0.67      0.42      0.51      1388

    accuracy                           0.91     12357
   macro avg       0.80      0.70      0.73     12357
weighted avg       0.90      0.91      0.90     12357

6.项目结构

整个案例项目结构如下:

bank_market_predict:.
│  data_preprocess.ipynb            # 数据预处理
│  data_preview.ipynb               # 数据查看
│  model.ipynb                      # 建模训练和评估
│
└─data
        banking.csv                 # 原始数据
        prerocessed_banking.csv     # 预处理好后的数据

完整的项目代码和数据可点击download.csdn.net/download/CU…下载和参考。

总结

逻辑斯谛回归是统计学习中的经典分类方法,属于对数线性模型,其利用回归的思想来解决分类问题,逻辑模型是机器学习中最重要的基础模型,因此掌握逻辑模型的原理极为重要。

本文原文转载自问我社区,原文链接www.wenwoha.com/19/course_a…www.wenwoha.com/19/course_a…