【力扣刷题】24. 两两交换链表中的节点

95 阅读1分钟

Offer 驾到,掘友接招!我正在参与2022春招打卡活动,点击查看活动详情

一、题目描述

来源:力扣(LeetCode)

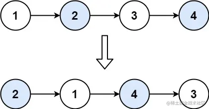
给你一个链表,两两交换其中相邻的节点,并返回交换后链表的头节点。你必须在不修改节点内部的值的情况下完成本题(即,只能进行节点交换)。   示例 1:

image.png

输入:head = [1,2,3,4]
输出:[2,1,4,3]

示例 2:

输入:head = []
输出:[]

示例 3:

输入:head = [1]
输出:[1]

 

提示:

  • 链表中节点的数目在范围 [0, 100] 内
  • 0 <= Node.val <= 100

二、思路分析

我们利用一个 stack,然后不断迭代链表,每次取出两个节点放入 stack 中,再从 stack 中拿出两个节点。 借助 stack 后进先出的特点,放进去的时候是 1,2 。拿出来的时候就是 2,1 两个节点了。 再把这两个节点串联起来,重复这个逻辑遍历完整个链表,就可以做到两两反转的效果了。

三、代码实现

/**
 * Definition for singly-linked list.
 * public class ListNode {
 *     int val;
 *     ListNode next;
 *     ListNode() {}
 *     ListNode(int val) { this.val = val; }
 *     ListNode(int val, ListNode next) { this.val = val; this.next = next; }
 * }
 */
class Solution {
    public ListNode swapPairs(ListNode head) {
        if(head==null || head.next==null) {
			return head;
		}
		//用stack保存每次迭代的两个节点
		Stack<ListNode> stack = new Stack<ListNode>();
		ListNode p = new ListNode(-1);
		ListNode cur = head;
		//head指向新的p节点,函数结束时返回head.next即可
		head = p;
		while(cur!=null && cur.next!=null) {
			//将两个节点放入stack中
			stack.add(cur);
			stack.add(cur.next);
			//当前节点往前走两步
			cur = cur.next.next;
			//从stack中弹出两个节点,然后用p节点指向新弹出的两个节点
			p.next = stack.pop();
			p = p.next;
			p.next = stack.pop();
			p = p.next;
		}
		//注意边界条件,当链表长度是奇数时,cur就不为空
		if(cur!=null) {
			p.next = cur;
		} else {
			p.next = null;
		}
		return head.next;
    }
}

四、运行结果

image.png

总结

这道题在于怎么交换之后链接之后的节点,还可以使用迭代和递归来解题,相比于迭代和递归来说,用栈来解题,比较清晰易懂