MySQL B+树索引和哈希索引的区别

331 阅读3分钟

索引介绍

索引是一种特殊的数据库结构,被设计用来快速查询数据库表中的特定记录。索引有多种类型,就像字典有拼音查找和偏旁查找一样都是为了提高检索效率。 MySQL中最常见的索引类型有B+树索引哈希索引,下面来简单介绍一下这两种索引类型有哪些差别和优劣。

B+树索引

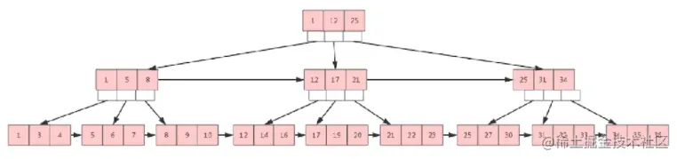
B+树索引是一种多路径的平衡搜索树,具有如下特点:

  • 1.非叶子节点不保存数据,只保存索引值
  • 2.叶子节点保存所有的索引值和数据
  • 3.同级节点通过指针自小而大顺序链接
  • 4.节点内的数据也是自小而大顺序存放
  • 5.叶子节点拥有父节点的所有信息

结构如下图:

file

优点

  • 如图可知,由于数据顺序存放,所以无论是区间还是顺序扫描都更快。
  • 非叶子节点不存储数据,因此几乎都能放在内存中,搜索效率更高
  • 单节点中可存储的数据更多,平均扫描I/O请求树更少
  • 平均查询效率稳定(每次查询都从根结点到叶子结点,查询路径长度相同)

缺点

  • 新增数据不是按顺序递增时,索引树需要重新排列,容易造成碎片和页分裂情况。

哈希索引

哈希索引就是采用一定的哈希算法,把键值换算成新的哈希值,检索时不需要类似B+树那样从根节点到叶子节点逐级查找,只需一次哈希算法即可立刻定位到相应的位置,速度非常快,具有如下特点:

  • 1.哈希索引建立在哈希表的基础上
  • 2.对于每个值,需要先计算出对应的哈希码(Hash Code),不同值的哈希码唯一
  • 3.把哈希码保存在哈希表中,同时哈希表也保存指向对应每行记录的指针

结构如下图:

file

优点

  • 大量唯一等值查询时,哈希索引效率通常更高。

缺点

  • 哈希索引对于范围查询和模糊匹配查询显得无能为力。
  • 哈希索引不支持排序操作,对于多列联合索引的最左匹配规则也不支持。
  • 哈希索引不支持部分索引列匹配查找,因为哈希索引始终是使用索引列的全部内容来计算哈希值的。
  • 访问哈希索引的数据非常快,除非有很多哈希冲突(不同的索引列值却有相同的哈希值)当出现哈希冲突的时候,存储引擎必须遍历链表中所有的行指针,逐行进行比较,直到找到所有符合条件的行。

Enjoy GreatSQL :)

本文由博客一文多发平台 OpenWrite 发布!