【力扣刷题】19. 删除链表的倒数第 N 个结点

96 阅读2分钟

Offer 驾到,掘友接招!我正在参与2022春招打卡活动,点击查看活动详情

一、题目描述

来源:力扣(LeetCode)

给你一个链表,删除链表的倒数第 n **个结点,并且返回链表的头结点。

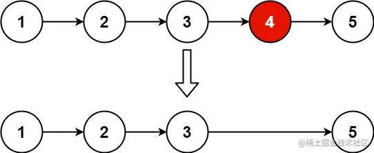
示例 1:   image.png

输入:head = [1,2,3,4,5], n = 2
输出:[1,2,3,5]

示例 2:

输入:head = [1], n = 1
输出:[]

示例 3:

输入:head = [1,2], n = 1
输出:[1]

 

提示:

  • 链表中结点的数目为 sz
  • 1 <= sz <= 30
  • 0 <= Node.val <= 100
  • 1 <= n <= sz

二、思路分析

整体思路是让前面的指针先移动n步,之后前后指针共同移动直到前面的指针到尾部为止 首先设立预先指针 pre,设预先指针 pre 的下一个节点指向 head,设前指针为 start,后指针为 end,二者都等于 pre start 先向前移动n步之后 start 和 end 共同向前移动,此时二者的距离为 n,当 start 到尾部时,end 的位置恰好为倒数第 n 个节点

因为要删除该节点,所以要移动到该节点的前一个才能删除,所以循环结束条件为 start.next != null 删除后返回 pre.next,为什么不直接返回 head 呢,因为 head 有可能是被删掉的点 时间复杂度:O(n)O(n)

三、代码实现

/**
 * Definition for singly-linked list.
 * public class ListNode {
 *     int val;
 *     ListNode next;
 *     ListNode() {}
 *     ListNode(int val) { this.val = val; }
 *     ListNode(int val, ListNode next) { this.val = val; this.next = next; }
 * }
 */
class Solution {
    public ListNode removeNthFromEnd(ListNode head, int n) {
        ListNode pre = new ListNode(0);
        pre.next = head;
        ListNode start = pre, end = pre;
        while(n != 0) {
            start = start.next;
            n--;
        }
        while(start.next != null) {
            start = start.next;
            end = end.next;
        }
        end.next = end.next.next;
        return pre.next;
    }
}

四、运行结果

image.png

总结

这道题刚开始想到的是数数解决,但是太繁琐,看到了别人的解题方法,了解到快慢指针法才发现还有这种解题方式