【翻译】Graphlib API 指南

1,395 阅读11分钟

github - raphlib

[TOC]

安装

npm Install

$ npm install @dagrejs/graphlib

介绍

Graphlib是一个JavaScript Lib库,为无向和有向多变图提供数据结构,以及可以一起使用的算法。

Build Status

更多学习内容, 查看wiki

API 指南

本部分主要阐述graphlib的概念并提供API指南。默认情况下,graphlib函数和对象暴露在graphlib的命名空间下。

图像概念

Graphlib有一种图类型: Graph。 创建一个新的实例:

var g = new Graph();

默认情况下,将会创建一个不允许多边或者复合节点的有向图。以下则是参数选项:

  • directed:设置为true时, 得到一个有向图。false时, 得到一个无向图。无向图不会把节点的顺序视为第一要务。换句话说, 对无向图来说g.edge("a", "b") === g.edge("b", "a")。默认为true
  • multigraph: 设置为true时, 允许图像在同一对节点之间有多条边。默认: false
  • compound: 设置为true时, 允许图像有复合节点。 可以是其他节点的父节点。 默认为false

可以在constructor中通过对象配置属性。比如,创建一个有向复合多边图:

var g = new Graph({ directed: true, compound: true, multigraph: true });

展现节点和边线

在graphlib中,节点由用户提供的字符串id表示。 所有节点相关的函数都使用此字符串id作为唯一标识节点的方式。以下为与节点交互的例子:

var g = new Graph();
g.setNode("my-id", "my-label");

g.node("my-id"); // return "my-label"

graphlib中的边由他们连接的节点标识。比如:

var g = new Graph();

g.setEdge("source", "target", "my-label");
g.edge("source", "target"); // return my-label

但是,为了进行各种类型的边缘查询,我们需要一种方法去唯一标识单个对象里的边。(比如:outEdges)。我们使用edgeObj应对,而此主要由以下组成:

  • v: 源id或者是边线上的尾节点。
  • w: 目标id或者是边线上的头节点。
  • name(可选): 唯一标识多边边线(multi-edge)的名称。

任何采用了一个边线id的边缘函数也可以使用edgeObj

var g = new Graph();

g.setEdge("source", "target", "my-label")
g.edge({ v: "source", w: "target" }); // return my-label

Multigraphs

multigraphs的数学概念: multigraph

multigraph.jpg

多重图是一种在一对节点中可以拥有多条边的图。默认情况下, graphlib的图像不是多重图, 需要在构造体中设置多重图的属性为true:

var g = new Graph({ multigraph: true })

在两个节点由多条边的情况下,我们需要相同的办法去识别每一条边。 我们称这样的属性为name。 这有关于相同节点之间的几条边的例子:

var g = new Graph({ multigraph: true })

g.setEdge("a", "b", "edge1-label", "edge1")
g.setEdge("a", "b", "edge2-label", "edge2")

g.edge("a", "b", "edge1")
g.edge("a", "b", "edge2")

g.edges()
/**
 * return [
 *  { v: "a", w: "b", name: "edge1" },
 *  { v: "a", w: "b", name: "edge2" }
 * ]
 */

多重图也允许创建没有名字的一条边

var g = new Graph({ multigraph: true })

g.setEdge("a", "b", "my-label")
g.edge({ v: "a", w: "b" })

复合图

复合图就是一个节点可以是其他节点的父节点。子节点组成一个"子图"。 以下例子为构建一个复合图并与之交互:

var g = new Graph({ compound: true });

g.setParent("a", "parent");
g.setParent("b", "parent");

g.parent("a"); // returns "parent"
g.parent("b"); // returns "parent"

g.parent("parent"); // returns undefined

默认标签

当一个节点或边没有创建标签时,会被默认分配一个标签。详情请看这两个API:

Graph API

graph.isDirected()

如果图是有向图的话,会返回true。 有向图会将在线段里的节点顺序是做有意义的,而无向图则会忽视。以下例子证明了不同:

var directed = new Graph({ directed: true });

directed.setEdge("a", "b", "my-label");
directed.edge("a", "b"); // returns my-label
directed.edge("b", "a"); // returns undefined

var undirected = new Graph({ directed: false });
undirected.setEdge("a", "b", "my-label");
undirected.edge("a", "b"); // returns my-label
undirected.edge("b", "a"); // returns my-label

graph.isMultigraph()

如果图是多重图,返回trueMultigraph

graph.isCompound()

如果是复合图,返回truecompound

graph.graph()

返回为图形分配的标签。 如果没有指定标签,则返回undefined

var g = new Graph();

g.graph(); // return undefined
g.setGraph("graph-label");
g.graph(); // return "graph-label"

graph.setGraph(label)

为图像设置标签。

graph.nodeCount()

返回图像中节点的数量。

graph.edgeCount()

返回节点中边线的数量。

graph.setDefaultNodeLabel(val)

设置一个新的默认值,以便于在没有指定标签创建节点时,分配过去。 如果val不是一个函数,将会作为标签分配。 如果是一个函数, 正被创建的节点的id将会调用此函数。

graph.setDefaultEdgeLabel(val)

为没有分配标签的线段指定一个新的默认标签。 如果val不是函数,则作为标签。 如果是函数,则会随着参数(v, w, name)而被调用。

graph.nodes()

返回图像里的所有节点id。 使用node(v)获取每个节点的标签,花费O(|v|)的时间。

graph.edges()

返回图中的每个边线的edgeObj。 使用edge(edgeObj)获取每个边线的标签。花费O(|v|)的时间。

graph.sources()

返回图中没有入边的节点。

graph.sinks()

返回途中没有出边的节点。

graph.hasNode(v)

如果图里存在节点的id为v,则返回true

graph.node(v)

如果图中存在id为v的节点,则返回指定的标签,否则返回undefined

graph.setNode(v, [label])

在图中创建或更新节点v的值。 如果提供了label,则更新掉。如果没有提供,在创建过程中会分配一个默认的标签。default node label

返回图,允许图和其他的函数连接起来。

graph.removeNode(v)

移除图中id为v的节点,如果不存在则不处理。如果节点被移除,也会移除所有边。 返回图,允许图和其他的函数连接起来。

graph.predecessors(v)

返回指定节点的所有前导节点,如果图中不存在此节点,则返回undefined. 如果是无向图,则会返回undefined,应该使用neighbors

graph.successors(v)

返回指定节点的所有后续节点。如果图中没有此节点,则返回undefined. 如果是无向图,则会返回undefined,应该使用neighbors

graph.neighbors(v)

返回指定节点的前导节点或者后续节点。如果图中没有此节点,则返回undefined

graph.inEdges(v, [u])

返回所有指向节点(v)的边。 可以过滤出只来自于节点u的边。 对无向图来说都是undefined,请使用nodeEdges。 如果图中没有节点v,则返回undefined

graph.outEdges(v, [w])

返回所有指向节点的边。可以过滤出只指向节点w的边。 对无向图来说都是undefined,请使用nodeEdges。 如果图中没有节点v,则返回undefined

graph.nodeEdges(v, [w])

返回所有与节点v有关的边,而不管方向。 可以过滤出节点v和w之间的所有线段,无论方向。 如果图中没有节点v,则返回undefined

graph.parent(v)

返回节点v的父节点。 如果节点没有父节点或不在图中,则返回undefined。 如果不是复合图的话,始终返回undefined

graph.children(v)

返回节点v的所有孩子节点。 如果不在图中则返回undefined。 如果不是复合图,始终返回[]

graph.setParent(v, parent)

如果parent有值,则设置为节点v的父节点; 如果没有值,则移除节点v的父节点。 如果图不是复合图,则抛出异常。 返回值为图本身,允许被连接到其他的函数内。

graph.hasEdge(v, w, [name]) / graph.hasEdge(edgeObj)

如果图中的节点v和节点w之间存在一条边,名字为name,则返回true。 [name]参数只适用于多重图。 对于无向图来说,v和w可以互换位置。

graph.edge(v, w, [name]) / graph.edge(edgeObj)

如果图中节点v和w之间存在线段,并带有可选名称,则返回线段(v,w)的标签。 如果图中没有这条线,则返回undefined。 参数[name]只适用于多重图。 无向图中,v,w可以互换。

graph.setEdge(v, w, [label], [name]) / graph.setEdge(edgeObj, [label])

使用参数[name]去创建或更新(v,w)的边。 如果提供了[label],则将其设置为边的值。而如果没有被提供,则将分配给默认的标签。 参数[name]只适用于多重图。 返回值为图本身,允许被连接到其他的函数内。

graph.removeEdge(v, w, [name])

如果图中的节点v,w之间有一条可选名[name]的边,则移除它。否则将无效。 参数[name]只适用于多重图。 无向图中,v,w可以互换。

序列化

json.write(g)

创建可以用JSON序列化为字符串的图形的JSONrepresentation。稍后可以使用json-read恢复图形。

var g = new graphlib.Graph();
g.setNode("a", { label: "node a" });
g.setNode("b", { label: "node b" });
g.setEdge("a", "b", { label: "edge a->b" });
graphlib.json.write(g);
// Returns the object:
//
// {
//   "options": {
//     "directed": true,
//     "multigraph": false,
//     "compound": false
//   },
//   "nodes": [
//     { "v": "a", "value": { "label": "node a" } },
//     { "v": "b", "value": { "label": "node b" } }
//   ],
//   "edges": [
//     { "v": "a", "w": "b", "value": { "label": "edge a->b" } }
//   ]
// }

json.read(json)

将输入的json转换为图像的展示类型。比如,我们使用json-write将图像序列化为str的字符串,我们可以使用以下的办法去恢复:

var g2 = graphlib.json.read(JSON.parse(str));
// or, in order to copy the graph
var g3 = graphlib.json.read(graphlib.json.write(g))

g2.nodes();
// ['a', 'b']
g2.edges()
// [ { v: 'a', w: 'b' } ]

算法

alg.components(graph)

找到图中所有的连接部分,并且将这些部分作为数组返回。 每个组件本身就是一个数组,包含组件中节点id。

alg.components.jpg

graphlib.alg.components(g);
// => [ [ 'A', 'B', 'C', 'D' ],
//      [ 'E', 'F', 'G' ],
//      [ 'H', 'I' ] ]

alg.dijkstra(graph, source, weightFn, edgeFn)

此算法是[Dijkstra]算法的js版本. 旨在从g的源节点到其他任意节点的最短路径。

这个函数将会返回一个map结构: v -> { distance, predecessor }

distance属性会保存从source到v的最短路径权重之和。 如果从source过来没有路径,则结果为正无穷大。

predecessor属性可以按照相反顺序遍历source到v的每个元素。

根据weightFn(e)来返回边e的权重。如果没有赋值,默认的每条边的权重是1. 如果任何遍历的边具有负边权重,则此函数将抛出错误。

edgeFn(v)会返回与节点v相关的所有边的ID,以便进行最短路径遍历。默认使用g.outEdges

例子:

dijkstra-source.png

function weight(e) { return g.edge(e); }

graphlib.alg.dijkstra(g, "A", weight);
// => { A: { distance: 0 },
//      B: { distance: 6, predecessor: 'C' },
//      C: { distance: 4, predecessor: 'A' },
//      D: { distance: 2, predecessor: 'A' },
//      E: { distance: 8, predecessor: 'F' },
//      F: { distance: 4, predecessor: 'D' } }

alg.dijkstraAll(graph, weightFn, edgeFn)

此函数用于查找从每个节点到其他每个可到达节点到最短距离。 与alg.dijkstra类似,但返回的不是单个数组,而是返回一个map映射: source -> alg.dijkstra(g, source, weightFn, edgeFn)

函数的weightFn返回边e的权重。如果没有指定,则默认为1。如果可遍历的边有负数,则会立即抛出错误。

函数的edgeFn(u)返回所有与节点u有关的边的id,以便于进行最短路径的遍历。默认使用g.outEdges

例子:

dijkstraAll.png

function weight(e) { return g.edge(e); }

graphlib.alg.dijkstraAll(g, function(e) { return g.edge(e); });

// => { A:
//       { A: { distance: 0 },
//         B: { distance: 6, predecessor: 'C' },
//         C: { distance: 4, predecessor: 'A' },
//         D: { distance: 2, predecessor: 'A' },
//         E: { distance: 8, predecessor: 'F' },
//         F: { distance: 4, predecessor: 'D' } },
//      B:
//       { A: { distance: Infinity },
//         B: { distance: 0 },
//         C: { distance: Infinity },
//         D: { distance: Infinity },
//         E: { distance: 6, predecessor: 'B' },
//         F: { distance: Infinity } },
//      C: { ... },
//      D: { ... },
//      E: { ... },
//      F: { ... } }

alg.findCycles(graph)

假定存在一个图g,此函数将会返回图中循环的部分。

由于图中不止有1个循环,所以该函数返回有循环体所构成的数组,而每个循环体由涉及的节点id构成。

如果要判断图是否有循环部分,请使用g.isAcyclic则更为高效。

var g = new graphlib.Graph();
g.setNode(1);
g.setNode(2);
g.setNode(3);
g.setEdge(1, 2);
g.setEdge(2, 3);
 
graphlib.alg.findCycles(g);
// => []

g.setEdge(3, 1);
graphlib.alg.findCycles(g);
// => [ [ '3', '2', '1' ] ]

g.setNode(4);
g.setNode(5);
g.setEdge(4, 5);
g.setEdge(5, 4);
graphlib.alg.findCycles(g);
// => [ [ '3', '2', '1' ], [ '5', '4' ] ]

alg.isAcyclic(graph)

给定一个图g,如果该图有循环的部分,则返回true。否则,返回false

该函数会返回检测到的第一个循环体。如果要获取全部内容,请使用alg.findCycles

var g = new graphlib.Graph();
g.setNode(1);
g.setNode(2);
g.setNode(3);
g.setEdge(1, 2);
g.setEdge(2, 3);

graphlib.alg.isAcyclic(g);
// => true

g.setEdge(3, 1);
graphlib.alg.isAcyclic(g);
// => false

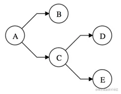
alg.postorder(graph, vs)

该函数将会从图像g的节点vs开始,进行后序遍历。

对于访问的每个节点,假定节点名为v,将会调用callback(v)

postorder.png

graphlib.alg.postorder(g, "A");
// => One of:
// [ "B", "D", "E", C", "A" ]
// [ "B", "E", "D", C", "A" ]
// [ "D", "E", "C", B", "A" ]
// [ "E", "D", "C", B", "A" ]

alg.preorder(graph, vs)

该函数将会从图像g的节点vs开始,进行前序遍历。 对于访问的每个节点,假定节点名为v,将会调用callback(v)

preorder.png

graphlib.alg.preorder(g, "A");
// => One of:
// [ "A", "B", "C", "D", "E" ]
// [ "A", "B", "C", "E", "D" ]
// [ "A", "C", "D", "E", "B" ]
// [ "A", "C", "E", "D", "B" ]

alg.prim(graph, weightFn)

Prim算法采用连通无向图,并生成最小生成树。 Prim's algorithm.

该函数将会以无向图的形式返回最小生成树。这个算法取自《算法导论》。

weightFn(e)将会返回边的权重e,如果图没有被联通,则会抛出异常。

prim-input.png

function weight(e) { return g(e); }
graphlib.alg.prim(g, weight);

返回的树,以图的形式展现:

minimum_spanning_tree.png

alg.tarjan(graph)

Tarjan's algorithm

该函数是Tarjan算法的一个实现,该算法在有向图g中找到所有强连通分量

每个强连通分量由节点组成,这些节点可以通过定向边到达分量中的所有其他节点。

如果一个强连接的组件既不能到达图中的任何其他特定节点,也不能被该节点访问,则该组件可以由单个节点组成。多个节点的组件要保证至少有一个循环。

此函数将会返回一个组件数组。每个组件本身也是一个数组,并且包含了组件内所有节点的id。

tarjan.png

graphlib.alg.tarjan(g);
// => [ [ 'F', 'G' ],
//      [ 'H', 'D', 'C' ],
//      [ 'E', 'B', 'A' ] ]

alg.topsort(graph)

topological sorting

topological 排序算法的实现。

给定一个图g,该函数返回一个节点数组,使得每个边u -> v, u出现在v之前。 如果图有循环,则不可能生成列表,并抛出异常。

topsort.png

graphlib.alg.topsort(g)
// [ '1', '2', '3', '4' ] or [ '1', '3', '2', '4' ]