【力扣刷题记 25】——《K 个一组翻转链表》

131 阅读2分钟

Offer 驾到,掘友接招!我正在参与 2022 春招打卡活动,点击查看活动详情

一、题目描述:

  1. K 个一组翻转链表-难度困难

给你一个链表,每 k 个节点一组进行翻转,请你返回翻转后的链表。

k 是一个正整数,它的值小于或等于链表的长度。

如果节点总数不是 k 的整数倍,那么请将最后剩余的节点保持原有顺序。

进阶:

你可以设计一个只使用常数额外空间的算法来解决此问题吗? 你不能只是单纯的改变节点内部的值,而是需要实际进行节点交换。  

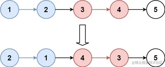
示例 1:

image.png

输入:head = [1,2,3,4,5], k = 2

输出:[2,1,4,3,5]

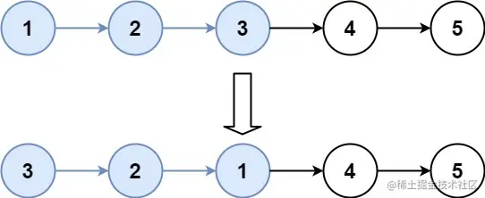
示例 2:

image.png

输入:head = [1,2,3,4,5], k = 3

输出:[3,2,1,4,5]

示例 3:

输入:head = [1,2,3,4,5], k = 1

输出:[1,2,3,4,5]

示例 4:

输入:head = [1], k = 1

输出:[1]

提示:

列表中节点的数量在范围 sz 内

1 <= sz <= 5000

0 <= Node.val <= 1000

1 <= k <= sz

二、题目和思路分析:

这道题和上道题好像差别不大的样子,上道题是两两翻转,这道题是k个一组翻转。

所以这道题的重要的方法有两个:

  1. 翻转节点
  2. 节点切割及拼接

同样的,节点拼接和切割也可以用递归调用的方法,在翻转节点范围后,直接递归调用下一个翻转。

三、代码:

代码实现如下:

/**
 * Definition for singly-linked list.
 * function ListNode(val, next) {
 *     this.val = (val===undefined ? 0 : val)
 *     this.next = (next===undefined ? null : next)
 * }
 */
/**
 * @param {ListNode} head
 * @param {number} k
 * @return {ListNode}
 */
var reverseKGroup = function(head, k) {

    return reverseKGroup(head, k)

    function reverseKGroup(head, k) {
        if (head == null) {
            return head
        }
        let a = head
        let b = head
        for (let i = 0; i < k; i++) {
            if (b == null) {
                return head
            } else {
                b = b.next
            }
        }
        // a——b共k个元素
        let newHead = reverse(a, b) // 翻转a节点到b节点的范围
        a.next = reverseKGroup(b, k) // a节点赋值为翻转后的节点,递归调用下一个翻转
        return newHead // 返回节点
    }

  
    function reverse (a, b) {  // 翻转链表
        let pre, nxt
        while (a != b) {
            nxt = a.next
            a.next = pre
            pre = a
            a = nxt
        }
        return pre // 返回反转后的结点
    }
    
};

四、总结:

这道题看起来不复杂,做起来还是觉得有些复杂,在节点的翻转和拼接过程中,逻辑是很容易出错的。

总的来说,这道题的代码难度大于解题的思路,思路简单,代码通过却不那么容易。

加油吧!

image.png