【力扣刷题记 24】——《两两交换链表中的节点》

147 阅读1分钟

Offer 驾到,掘友接招!我正在参与 2022 春招打卡活动,点击查看活动详情

一、题目描述:

  1. 两两交换链表中的节点-难度中等

给你一个链表,两两交换其中相邻的节点,并返回交换后链表的头节点。你必须在不修改节点内部的值的情况下完成本题(即,只能进行节点交换)。

 

示例 1:

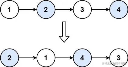
image.png 输入:head = [1,2,3,4] 输出:[2,1,4,3] 示例 2:

输入:head = [] 输出:[] 示例 3:

输入:head = [1] 输出:[1]  

提示:

链表中节点的数目在范围 [0, 100] 内 0 <= Node.val <= 100

二、题目和思路分析:

前面的链表题目做起来都没什么难度,我突然有一种【链表都很简单】的错觉。

比如这道题,写一个方法进行交换两节点返回交换后的节点,只要将两节点两两交换即可。

方法重要的地方在于:

返回值为第一个节点,如果有两个及以上节点,前两个节点进行交换。

三、代码:

代码实现如下:

/**
 * Definition for singly-linked list.
 * function ListNode(val, next) {
 *     this.val = (val===undefined ? 0 : val)
 *     this.next = (next===undefined ? null : next)
 * }
 */
/**
 * @param {ListNode} head
 * @return {ListNode}
 */
var swapPairs = function(head) {
    if(head == null || head.next == null){
        return head  // 找到最后一个节点
    }
    let next = head.next // 第一个交换为第二个
    head.next = swapPairs(next.next) // 不断递归调用即可,第一个的值设为遍历返回的点
    next.next = head // 第二个交换为第一个
    return next
};

四、总结:

这道题本质上还是递归调用方法的使用,重要的是交换的逻辑

加油吧!

image.png