数据结构-112. 路径总和

73 阅读2分钟

Offer 驾到,掘友接招!我正在参与2022春招打卡活动,点击查看活动详情

一、题目描述:

给你二叉树的根节点 root 和一个表示目标和的整数 targetSum 。判断该树中是否存在 根节点到叶子节点 的路径,这条路径上所有节点值相加等于目标和 targetSum 。如果存在,返回 true ;否则,返回 false 。

叶子节点 是指没有子节点的节点。

 

示例 1:

image.png 输入:root = [5,4,8,11,null,13,4,7,2,null,null,null,1], targetSum = 22 输出:true 解释:等于目标和的根节点到叶节点路径如上图所示。 示例 2:

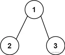
image.png 输入:root = [1,2,3], targetSum = 5 输出:false 解释:树中存在两条根节点到叶子节点的路径: (1 --> 2): 和为 3 (1 --> 3): 和为 4 不存在 sum = 5 的根节点到叶子节点的路径。 示例 3:

输入:root = [], targetSum = 0 输出:false 解释:由于树是空的,所以不存在根节点到叶子节点的路径。  

提示:

树中节点的数目在范围 [0, 5000] 内 -1000 <= Node.val <= 1000 -1000 <= targetSum <= 1000

来源:力扣(LeetCode) 链接:leetcode-cn.com/problems/pa… 著作权归领扣网络所有。商业转载请联系官方授权,非商业转载请注明出处。

二、思路分析:

本题的要求是,询问是否有从「根节点」到某个「叶子节点」经过的路径上的节点之和等于目标和。核心思想是对树进行一次遍历,在遍历时记录从根节点到当前节点的路径和,以防止重复计算。我们可以使用递归的方式 解题过程如下

1.找到一个满足条件即可,boolean返回类型
2.递归参数:根节点,当前还差多少val
3.终止条件:叶子节点+差值为0

注意:给定的 root 可能为空

三、AC代码

class Solution {
    public boolean hasPathSum(TreeNode root, int sum) {
        if(root == null) return false;
        return dfs(root, sum - root.val);
    }
    boolean dfs(TreeNode root, int sum) {
    
        if(root.left == null && root.right == null && sum == 0) return true;
        if(root.left == null && root.right == null && sum != 0) return false;
        if(root.left != null) {
            if(dfs(root.left, sum - root.left.val)) return true; 
        }
        if(root.right != null) {
            if(dfs(root.right, sum - root.right.val)) return true;
        }
        return false;
    }
}

四、总结:

image.png 掘友们,解题不易,如果觉得有用就留下个赞或评论再走吧!谢啦~ 💐