【力扣刷题记 19】——《删除链表的倒数第 N 个结点》

111 阅读1分钟

Offer 驾到,掘友接招!我正在参与 2022 春招打卡活动,点击查看活动详情

一、题目描述:

  1. 删除链表的倒数第 N 个结点-难度中等

给你一个链表,删除链表的倒数第 n 个结点,并且返回链表的头结点。

 

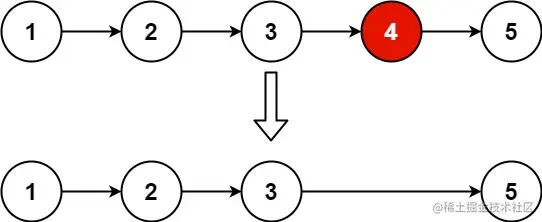
示例 1:

image.png

输入:head = [1,2,3,4,5], n = 2 输出:[1,2,3,5] 示例 2:

输入:head = [1], n = 1 输出:[] 示例 3:

输入:head = [1,2], n = 1 输出:[1]  

提示:

链表中结点的数目为 sz 1 <= sz <= 30 0 <= Node.val <= 100 1 <= n <= sz  

进阶:你能尝试使用一趟扫描实现吗?

二、题目和思路分析:

分析一下题目的要求:

删除链表的倒数第n个节点:递归操作,找到倒数第n-1个节点,将其next赋值为null,即删除n节点

返回链表的头节点:返回重组后的链表

所以只要遍历链表,找到倒数第n个节点,删除即可。

写成函数重复调用的方式,代码很精简~ 代码写的过程也是边写边想,所以每一行都写了注释帮助理解。

三、代码:

代码实现如下:

/**
 * Definition for singly-linked list.
 * function ListNode(val, next) {
 *     this.val = (val===undefined ? 0 : val)
 *     this.next = (next===undefined ? null : next)
 * }
 */
/**
 * @param {ListNode} head
 * @param {number} n
 * @return {ListNode}
 */
var removeNthFromEnd = function(head, n) {
    
    return nodePosition(head,n)==n? head.next : head

    function nodePosition(node, n){ // 最终返回的是倒数返回总结点数量,比如[1,2,3,4,5]倒着数共5个节点,4是倒数第二个节点
        // 当前节点是node,当前节点的下一个节点是倒数第m个
        if(node.next == null) return 1  // 最后一个节点,标记为1
        let m = nodePosition(node.next, n) // m是当前节点node的下一个节点的倒数顺序
        if(m == n){ // 如果当前节点的下一个节点就是要删除的节点
            node.next = node.next.next  // 将当前节点的指向改为下一个节点的下一个节点,即跳过第n个节点
        } // 如果删除的是第一个节点,则不会走进if判断,所以要在外层判断
        return ++m
    }
};

四、总结:

链表相关的问题其实不太复杂,虽然在我的日常工作几乎没有用到过链表。主要思路想好之后,代码逻辑完善即可~

加油吧!

image.png