数据结构-101. 对称二叉树

124 阅读1分钟

Offer 驾到,掘友接招!我正在参与2022春招打卡活动,点击查看活动详情

一、题目描述:

给你一个二叉树的根节点 root , 检查它是否轴对称。

 

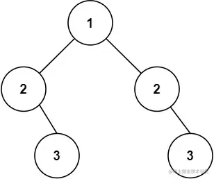
示例 1:

image.png

输入:root = [1,2,2,3,4,4,3] 输出:true 示例 2:

image.png

输入:root = [1,2,2,null,3,null,3] 输出:false  

提示:

树中节点数目在范围 [1, 1000] 内 -100 <= Node.val <= 100  

进阶:你可以运用递归和迭代两种方法解决这个问题吗?

来源:力扣(LeetCode) 链接:leetcode-cn.com/problems/sy… 著作权归领扣网络所有。商业转载请联系官方授权,非商业转载请注明出处。

二、思路分析:

乍一看无从下手,但用递归其实很好解决。 根据题目的描述,镜像对称,就是左右两边相等,也就是左子树和右子树是相当的。 注意,左子树和右子相等

我们可以实现这样一个递归函数,通过「同步移动」两个指针的方法来遍历这棵树,p 指针和 q 指针都指向这棵树的根,随后 p 右移时,q 左移,p 左移时,q右移。 每次检查当前 p 和 q 节点的值是否相等, 如果相等再判断左右子树是否对称。直到递归结束,返回结果

三、AC代码

class Solution {
    public boolean isSymmetric(TreeNode root) {
        return check(root, root);
    }

    public boolean check(TreeNode p, TreeNode q) {
        if (p == null && q == null) {
            return true;
        }
        if (p == null || q == null) {
            return false;
        }
        return p.val == q.val && check(p.left, q.right) && check(p.right, q.left);
    }
}

四、总结:

image.png 掘友们,解题不易,如果觉得有用就留下个赞或评论再走吧!谢啦~ 💐