Python函数中的参数是如何传递的?

214 阅读2分钟

本文已参与「新人创作礼」活动,一起开启掘金创作之路

前言

Python函数大家应该不陌生,那函数中的参数是如何传递的,你知道吗?我们先看一下下面的代码,和你想的预期结果是不是一样了?

def test_1(a):
    a = 5

a = 3
test_1(a)
print(a)

def test_2(l):
    l.append(4)

l = [1, 2, 3]
test_2(l)
print(l)

# 3 a的值没有发生变化
# [1, 2, 3, 4] l的值发生了变化

为什么会出现这样的结果了,带着这个疑问,我们往下学。

变量赋值

在我告诉你们Python函数中参数是如何传递之前,我们要先学习一下变量赋值的背后逻辑。我们先看一个简单的代码。

a = 1
b = a
a = a + 1

我们之前就说过,Python万物皆对象,所以1也是对象,a = 1,其实是创建了1这个对象,让变量a指向了1这个对象,b = a,就表示b也会指向1这个对象。

3629157-3cdfe3d81c76ec8b.png

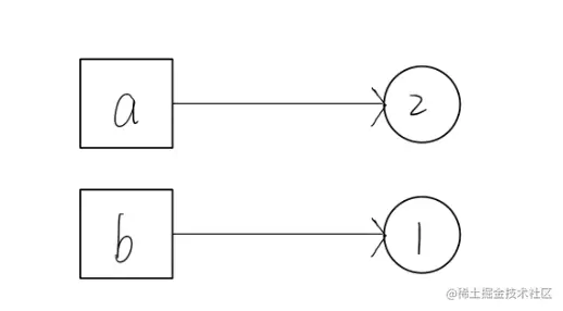
a = a + 1后,由于int类型数据是不可变数据类型,所以就创建了一个2的对象,变量a指向2这个对象。

3629157-d1e3a10747915b71.png 那列表这种可变数据类型就不一样了。l1和l2都指向了同一个列表对象,当列表对象发生改变时,指向他的变量都会发生改变。

l1 = [1, 2, 3]
l2 = l1
l1.append(4)
print(l1, l2)

# [1, 2, 3, 4] [1, 2, 3, 4]

总结下来说,Python变量赋值就是让变量指向对应的对象,可变对象和不可变对象要区分开来,可变对象发生改变,会影响指向该对象的所有变量,而不可变量则不会。

Python函数的参数传递

我先说结论,Python函数的参数传递是对象的引用传递。我们举个例子。

def test_1(b):
    b = 5

a = 3
test_1(a)
print(a)

# 3

根据对象的引用传递,a和b都是指向3这个对象的,在函数中,我们又执行了b = 5,所以b就指向了5这个新对象,但是a还是指向3这个对象,所以a还是3。

所以,我们再来看开头的案例,我想你应该能看明白了。今天的分享就到这了,我们下期再见。