🔥 LeetCode 热题 HOT 100 : 102 && 104

104 阅读1分钟

“Offer 驾到,掘友接招!我正在参与2022春招打卡活动,点击查看活动详情。”

102. 二叉树的层序遍历

一、题目描述:

难度中等1237

给你二叉树的根节点 root ,返回其节点值的 层序遍历 。 (即逐层地,从左到右访问所有节点)。

 

示例 1:

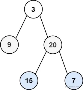
输入: root = [3,9,20,null,null,15,7]
输出: [[3],[9,20],[15,7]]

示例 2:

输入: root = [1]
输出: [[1]]

示例 3:

输入: root = []
输出: []

 

提示:

  • 树中节点数目在范围 [0, 2000] 内
  • -1000 <= Node.val <= 1000

二、思路分析:

  • BFS 层级遍历, 使用一个队列来存放节点, 遍历到当前node节点时, 将node的左右节点依次入队

三、AC 代码:

class Solution {
    public List<List<Integer>> levelOrder(TreeNode root) {
        if(root == null) return new ArrayList<>();
        List<List<Integer>> ans = new ArrayList<>();
        Queue<TreeNode> queue = new LinkedList<>();

        queue.offer(root);

        while(!queue.isEmpty()){
            int size = queue.size();
            List<Integer> temp = new ArrayList<>();
            while(size-- != 0){
                TreeNode node = queue.poll();
                temp.add(node.val);
                if(node.left != null) queue.offer(node.left);
                if(node.right != null) queue.offer(node.right);
            }
            ans.add(temp);
        }
        return ans;
    }
}

104. 二叉树的最大深度

一、题目描述:

给定一个二叉树,找出其最大深度。

二叉树的深度为根节点到最远叶子节点的最长路径上的节点数。

说明: 叶子节点是指没有子节点的节点。

示例:
给定二叉树 [3,9,20,null,null,15,7]

    3
   / \
  9  20
    /  \
   15   7

返回它的最大深度 3 。

二、思路分析:

  • 递归 递归求左右子树的高度

ans = max(leftHeight, rightHeight) + 1

三、AC 代码:

class Solution {
    public int maxDepth(TreeNode root) {
        if(root == null) return 0;
        int left = maxDepth(root.left);
        int right = maxDepth(root.right);
        return Math.max(left, right) + 1;
    }
}