[路飞] leetcode 222. 完全二叉树的节点个数

120 阅读1分钟

Offer 驾到,掘友接招!我正在参与2022春招打卡活动,点击查看活动详情

一、题目描述

leetcode 222. 完全二叉树的节点个数

给你一棵 完全二叉树 的根节点root,求出该树的节点个数。

完全二叉树 的定义如下:在完全二叉树中,除了最底层节点可能没填满外,其余每层节点数都达到最大值,并且最下面一层的节点都集中在该层最左边的若干位置。若最底层为第 h 层,则该层包含 1~ 2h 个节点。

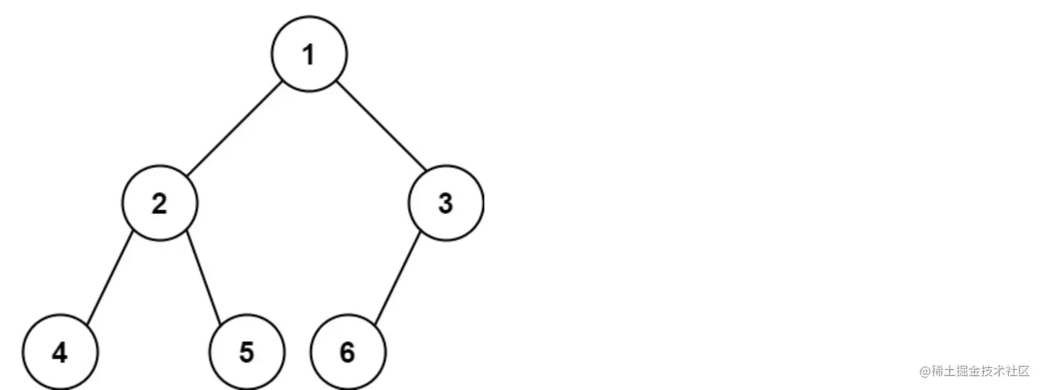
示例 1:

image.png

输入: root = [1,2,3,4,5,6]
输出: 6

示例 2:

输入: root = []
输出: 0

示例 3:

输入: root = [1]
输出: 1

提示:

  • 树中节点的数目范围是[0, 5 * 104]
  • 0 <= Node.val <= 5 * 104
  • 题目数据保证输入的树是 完全二叉树

二、思路分析

递归

无需展开理解,利用递归函数的语意信息去进行程序设计。

递归函数实现,如果节点为空返回0;否则递归处理返回左子树和右子树数量

三、JavaScript代码

/**
 * Definition for a binary tree node.
 * function TreeNode(val, left, right) {
 *     this.val = (val===undefined ? 0 : val)
 *     this.left = (left===undefined ? null : left)
 *     this.right = (right===undefined ? null : right)
 * }
 */
/**
 * @param {TreeNode} root
 * @return {number}
 */
var countNodes = function(root) {
    if(root == null) return 0;
    return countNodes(root.left) + countNodes(root.right) + 1
};

四、总结