[路飞] leetcode112. 路径总和

105 阅读2分钟

Offer 驾到,掘友接招!我正在参与2022春招打卡活动,点击查看活动详情

一、题目描述

leetcode112. 路径总和

给你二叉树的根节点 root 和一个表示目标和的整数 targetSum 。判断该树中是否存在** 根节点到叶子节点 **的路径,这条路径上所有节点值相加等于目标和 targetSum 。如果存在,返回true;否则,返回false

叶子节点 是指没有子节点的节点。

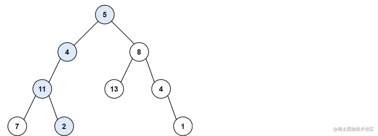
示例 1:

image.png

输入:root = [5,4,8,11,null,13,4,7,2,null,null,null,1], targetSum = 22
输出:true
解释:等于目标和的根节点到叶节点路径如上图所示。

示例 2:

image.png

输入:root = [1,2,3], targetSum = 5
输出:false
解释:树中存在两条根节点到叶子节点的路径:
(1 --> 2): 和为 3
(1 --> 3): 和为 4
不存在 sum = 5 的根节点到叶子节点的路径。

示例 3:

输入: root = [], targetSum = 0
输出: false
解释: 由于树是空的,所以不存在根节点到叶子节点的路径。

提示:

  • 树中节点的数目在范围 [0, 5000]
  • -1000 <= Node.val <= 1000
  • -1000 <= targetSum <= 1000

二、思路分析

递归

无需展开理解,利用递归函数的语意信息去进行程序设计。

  • 明确递归函数功能:在以root为根节点的树中,能否找到和等于targetSum的叶子节点

边界处理

  • 节点为空时,返回false
  • 如果节点root是子节点本身(没有左子树和右子树)的话, root.val 等于 targetSum 的话,那么就存在路径
  • 如果当前节点有子节点,就递归处理其子节点与targetSum减去当前节点值,这是自顶而下的递归

三、JavaScript代码

/**
 * Definition for a binary tree node.
 * function TreeNode(val, left, right) {
 *     this.val = (val===undefined ? 0 : val)
 *     this.left = (left===undefined ? null : left)
 *     this.right = (right===undefined ? null : right)
 * }
 */
/**
 * @param {TreeNode} root
 * @param {number} targetSum
 * @return {boolean}
 */
var hasPathSum = function(root, targetSum) {
    if(root == null) return false;
    if(root.left == null && root.right == null) return root.val == targetSum;
    if(root.left && hasPathSum(root.left, targetSum - root.val)) return true;
    if(root.right && hasPathSum(root.right, targetSum - root.val)) return true;
    return false;
};

四、总结