数组排序之堆排序,c++实现

183 阅读2分钟

数组排序之堆排序,c++实现

问题描述

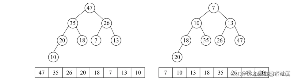
采用堆排序的方法去排序一个数组{47, 35, 26, 20, 18, 7, 13, 10} 数组对应堆的图例,根节点大于左右孩子节点 在这里插入图片描述 分析:

  1. 组建堆,第i个节点和其左右孩子分别对应第2i + 1和2i + 2下标的数据
  2. 如何确定堆有几层?如下
  3. 数组的最后一个值的下标为n其父节点为i,所以存在关系n = 2*i+1 => i = (n-1)/2
  4. 即第0i个节点是有子节点,i+1n个节点是叶子节点
  5. 首次建堆处理,把树处理层,根节点大于或等于其左右孩子的树
  6. 首次建堆后的数据是大根堆,但是此时从上往下,从左往右并不是有序的
  7. 然首次建堆不是有序的,但是此时堆顶元素肯定是最大的
  8. 因此把堆顶元素和数组最后一个元素交换位置,然后剔除掉最后一个元素,重新建堆
  9. 为此时,除了第一个元素,其他元素都是符合大根堆关系的,因此,从0开始建堆(不同于一开始的,以每一个小节点建堆,再逐步组装起来)
  10. 最后的堆顶元素是最大的,重复7、8步骤,直到全部元素处理完毕。

算法实现

#include<iostream>
using namespace std;

class Heap {
	private:
		int arr[10] = {47, 35, 26, 20, 18, 7, 13, 10, 8, 6};
	public: 
		void show();
		void sort(int n);
		void sortHeap(int k, int n); // 在当前节点中排序 
};

void Heap::show() {
	for (int i = 0; i < 10; i++) {
		cout<<this->arr[i]<<" "; 
	}
	cout<<endl;
}
// n 表示数组长度,k表示该根节点的下标 
void Heap::sortHeap(int k, int n) {
	int i, j, temp;
	i = k; j = 2 * i + 1; // 操作第k层和其孩子比较
	while(j < n) {
		// 在数组边界内, 比较左右孩子,较大的孩子与根节点比较 
		if (j < n-1 && this->arr[j] < arr[j+1]) j++;
		if (this->arr[i] > this->arr[j]) {
			break;
		} else {
			temp = this->arr[i];
			this->arr[i] = this->arr[j];
			this->arr[j] = temp;
			this->show();
			// 交换后,后面可能存在大于改根节点的值,所以交换后的节点作为根节点,继续比较,直到条件不成立
			i = j; j = 2*i+1;
		}
	}
}
void Heap::sort(int n) {
	int i, temp;
	// 从后往前遍历有根节点,最后一个根节点的下标n=2*i+1 => i = (n-1) / 2得到根节点 
	for (i = (n-1)/2; i >= 0; i--) {
		this->sortHeap(i, n);
		this->show();
	}
	cout<<"---"<<endl; 
	// 将堆顶的数值和最后一个未交换过的下标的值交换,得到的下标n-i是目前未处理的最大的数值
	for (i = 1; i <= n-1; i++) {
		cout<<"堆顶"<<this->arr[i]<<endl; 
		temp = this->arr[0]; this->arr[0] = this->arr[n - i]; this->arr[n-i] = temp;
		// 重新建队,n-i个节点下标后已经是处理过的值,不需要在堆中处理 
		this->sortHeap(0, n-i);
	}
	this->show();
}
int main() {
	Heap heap;
//	heap.show();
	heap.sort(10);
	heap.show();
	return 0;
} 

结果如下

在这里插入图片描述