服了,刷题也能上瘾?三

215 阅读3分钟

Offer 驾到,掘友接招!我正在参与2022春招打卡活动,点击查看活动详情

刷题上瘾计划

导读

曾经实施过的计划(在我博客都能搜到):

在这里插入图片描述

自从开始记录自己的刷题笔记开始我从每日肥学系列,到动态规划二十一天,再到大厂特训二十八天,还有不攻下dfs不比赛系列。有兴趣大家可以去看看。从最后的结果来看我收到了一些志同道合的朋友一起刷题。如果你也想要加入我们可以直接私信我加入我们也可以下面留言打卡,现在我们的队伍还不是很大但是也有几位成功的同学了,有的进入了不错的公司(当然不能说全靠刷题得来的)有的拿到了比赛证书。接下来我会继续坚持下去,这个“瘾”我们要培养起来。所以我们再来一个为期二十八天刷题上瘾训练计划。等这二十八天过完我们在来一起总结一下。


作者:肥学
链接:juejin.cn/post/707743… 来源:稀土掘金
著作权归作者所有。商业转载请联系作者获得授权,非商业转载请注明出处。

PS:算法不太分语言大家都可以来的。

题目

给你一棵二叉搜索树的 root ,请你 按中序遍历 将其重新排列为一棵递增顺序搜索树,使树中最左边的节点成为树的根节点,并且每个节点没有左子节点,只有一个右子节点。

示例 1: 在这里插入图片描述

输入:root = [5,3,6,2,4,null,8,1,null,null,null,7,9]
输出:[1,null,2,null,3,null,4,null,5,null,6,null,7,null,8,null,9]

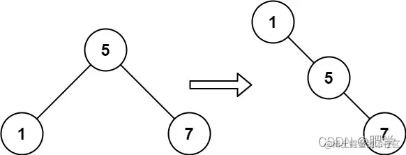
示例 2: 在这里插入图片描述

输入:root = [5,1,7]
输出:[1,null,5,null,7]
 

测试地址:地址

思路:题目要求我们返回按照中序遍历的结果改造而成的、只有右节点的等价二叉搜索树。我们可以进行如下操作:

先对输入的二叉搜索树执行中序遍历,将结果保存到一个列表中;

然后根据列表中的节点值,创建等价的只含有右节点的二叉搜索树,其过程等价于根据节点值创建一个链表。

解一: 直接深度搜索在low和high中的加起来

/**
 * Definition for a binary tree node.
 * public class TreeNode {
 *     int val;
 *     TreeNode left;
 *     TreeNode right;
 *     TreeNode() {}
 *     TreeNode(int val) { this.val = val; }
 *     TreeNode(int val, TreeNode left, TreeNode right) {
 *         this.val = val;
 *         this.left = left;
 *         this.right = right;
 *     }
 * }
 */
class Solution {
    public List<Integer> inorder(TreeNode root,List<Integer> list){
        if(root==null)return list;
        inorder(root.left,list);
        list.add(root.val);
        inorder(root.right,list);
        return list;
    }
    public TreeNode increasingBST(TreeNode root) {
        List<Integer> list=new ArrayList<Integer>();
        list=inorder(root,list);
        TreeNode treeNode=new TreeNode(list.get(0));
        TreeNode temp=treeNode;
        for(int i=1;i<list.size();i++){
            TreeNode t=new TreeNode(list.get(i));
            temp.right=t;
            temp=temp.right;
        }
        return treeNode;
    }
}

解二:

class Solution {
    public TreeNode increasingBST(TreeNode root) {
        List<Integer> res = new ArrayList<Integer>();
        inorder(root, res);

        TreeNode dummyNode = new TreeNode(-1);
        TreeNode currNode = dummyNode;
        for (int value : res) {
            currNode.right = new TreeNode(value);
            currNode = currNode.right;
        }
        return dummyNode.right;
    }

    public void inorder(TreeNode node, List<Integer> res) {
        if (node == null) {
            return;
        }
        inorder(node.left, res);
        res.add(node.val);
        inorder(node.right, res);
    }
}


重要的事情

如果你在学习python或者Java哪怕是C遇到问题都可以来给我留言,因为在学习初期新手总会走很多弯路,这个时候如果没有有个人来帮一把的话很容易就放弃了。身边很多这样的例子许多人学着学着就转了专业换了方向,不仅是自身问题还是没有正确的学习。所以作为一个过来人我希望有问题给我留言,说不上是帮助就是顺手敲几行字的事情。