力扣-相交链表

629 阅读3分钟

Offer 驾到,掘友接招!我正在参与2022春招打卡活动,点击查看活动详情

前言

数据结构与算法属于开发人员的内功,不管前端技术怎么变,框架怎么更新,版本怎么迭代,它终究是不变的内容。 始终记得在参加字节青训营的时候,月影老师说过的一句话,不要问前端学不学算法。计算机学科的每一位都有必要了解算法,有写出高质量代码的潜意识

一、问题描述

给你两个单链表的头节点 headA 和 headB ,请你找出并返回两个单链表相交的起始节点。如果两个链表不存在相交节点,返回 null 。

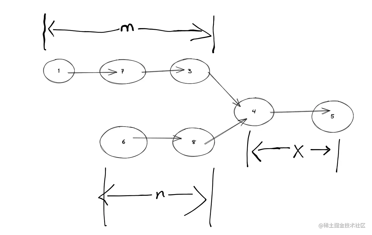
图示两个链表在节点 c1 开始相交:

题目数据 保证 整个链式结构中不存在环。

注意,函数返回结果后,链表必须 保持其原始结构

自定义评测:

评测系统 的输入如下(你设计的程序 不适用 此输入):

  • intersectVal - 相交的起始节点的值。如果不存在相交节点,这一值为 0
  • listA - 第一个链表
  • listB - 第二个链表
  • skipA - 在 listA 中(从头节点开始)跳到交叉节点的节点数
  • skipB - 在 listB 中(从头节点开始)跳到交叉节点的节点数
  • 评测系统将根据这些输入创建链式数据结构,并将两个头节点 headA 和 headB 传递给你的程序。如果程序能够正确返回相交节点,那么你的解决方案将被 视作正确答案 。

示例 1:

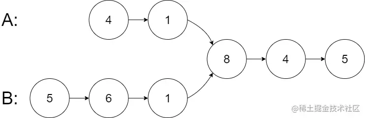
输入:intersectVal = 8, listA = [4,1,8,4,5], listB = [5,6,1,8,4,5], skipA = 2, skipB = 3
输出:Intersected at '8'
解释:相交节点的值为 8 (注意,如果两个链表相交则不能为 0)。
从各自的表头开始算起,链表 A 为 [4,1,8,4,5],链表 B 为 [5,6,1,8,4,5]。
在 A 中,相交节点前有 2 个节点;在 B 中,相交节点前有 3 个节点。

示例 2:


输入:intersectVal = 2, listA = [1,9,1,2,4], listB = [3,2,4], skipA = 3, skipB = 1
输出:Intersected at '2'
解释:相交节点的值为 2 (注意,如果两个链表相交则不能为 0)。
从各自的表头开始算起,链表 A 为 [1,9,1,2,4],链表 B 为 [3,2,4]。
在 A 中,相交节点前有 3 个节点;在 B 中,相交节点前有 1 个节点。

示例 3:

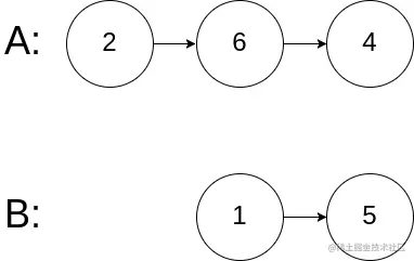
输入:intersectVal = 0, listA = [2,6,4], listB = [1,5], skipA = 3, skipB = 2
输出:null
解释:从各自的表头开始算起,链表 A 为 [2,6,4],链表 B 为 [1,5]。
由于这两个链表不相交,所以 intersectVal 必须为 0,而 skipA 和 skipB 可以是任意值。
这两个链表不相交,因此返回 null

提示:

  • listA 中节点数目为 m
  • listB 中节点数目为 n
  • 1 <= m, n <= 3 * 104
  • 1 <= Node.val <= 105
  • 0 <= skipA <= m
  • 0 <= skipB <= n
  • 如果 listA 和 listB 没有交点,intersectVal 为 0
  • 如果 listA 和 listB 有交点,intersectVal == listA[skipA] == listB[skipB]

二、题解思路

2.1 暴力解决

很直接、很暴力。 对于链表A中的每一个节点,判断B中是否存在就完事了. 时间复杂度O(N^2)

var getIntersectionNode = function(headA, headB) {
    if(!headA || !headB) return null
    let p1 = headA
    while(p1){
        let p2 = headB // 迭代第一个链表中的每一个节点
        while(p2){
            if(p1==p2) return p1
            p2 = p2.next
        }
        p1 = p1.next
    }
    return null
};

2.2 哈希表记录

题解也很简单,遍历第一个链表,将所有节点存入一个哈希表,再遍历第二个链表,一旦发现哈希表中存在该元素,就直接返回。

var getIntersectionNode = function(headA, headB) {
    if(!headA || !headB) return null
    let map = new Map()
    let p1 = headA
    while(p1){
        map.set(p1,true)
        p1 = p1.next
    }
    let p2 = headB
    while(p2){
        if(map.has(p2)) return p2
        p2 = p2.next
    }
    return null
};

2.3 双指针解法

假设链表A距离相交节点的长度是m,链表B距离相交节点的长度是n。从相交节点到链表的末端是x 那么就有

  • headA : length = m + x
  • headB : length = n + x 如果将两个链表的收尾拼接起来,也就是 headA = headA --- > headB, headB = headB ---> headA 这样两个链表迭代完一次之后都会来到相交节点的位置

灵魂画家小白hhh

截屏2022-03-21 下午9.53.02.png

var getIntersectionNode = function(headA, headB) {
    if(!headA || !headB) return null
    let p1 = headA , p2 = headB
    while(p1!=p2){
        p1 = p1 === null ? headB : p1.next
        p2 = p2 === null ? headA : p2.next
        if(p1==p2) return p1
    }
    return p1
};

后续

好了,本篇 力扣-相交链表到这里就结束了,我是邵小白,一个在前端领域摸爬滚打的大三学生,欢迎👍 评论。