leetcode-两数之和 IV - 输入 BST

124 阅读2分钟

Offer 驾到,掘友接招!我正在参与2022春招系列活动-刷题打卡任务,点击查看活动详情

题目描述

给定一个二叉搜索树 root 和一个目标结果 k,如果 BST 中存在两个元素且它们的和等于给定的目标结果,则返回 true。

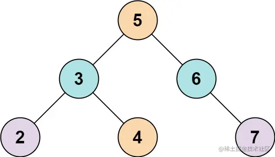
示例 1: 653实例1.jpeg 输入: root = [5,3,6,2,4,null,7], k = 9 输出: true

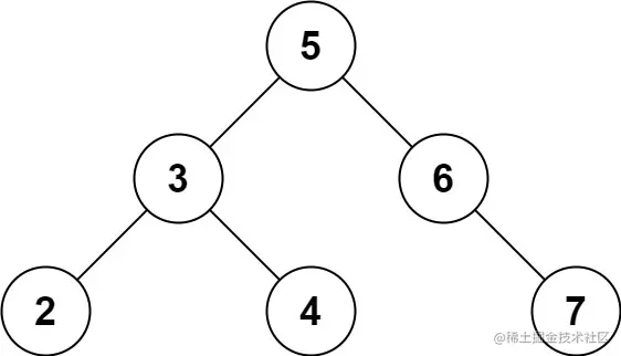
示例 2: 653示例2.jpeg 输入: root = [5,3,6,2,4,null,7], k = 28 输出: false

思路

和为k,一个数为num的话,其实就是看k-num在数中存在不存在。
那么最显而易见的思路就是,先定一个一个set,通过深度或者广度优先遍历数的所有节点,找到一个节点值是num后,在set里面查找k-num是否存在,如果存在,我们就找到了符合条件的解,如果没找到,就把这个节点值放到set中去备查,然后再遍历下一个节点。直到遍历到最后一个节点或者找到一个服务条件的节点。
当然,上面那个方法没有利用到搜索树的有序性。其实我们可以参照两数之和题目的做法,先把数转换成一个排好顺序的数组,然后用2个指针分别指向头和尾,不断像中间走动(当前两数之和超过k,就走右指针;小于k,就走左指针)看是否存在和为k的2个节点,具体就参照两数之和的题解。

Java版本代码

/**
 * Definition for a binary tree node.
 * public class TreeNode {
 *     int val;
 *     TreeNode left;
 *     TreeNode right;
 *     TreeNode() {}
 *     TreeNode(int val) { this.val = val; }
 *     TreeNode(int val, TreeNode left, TreeNode right) {
 *         this.val = val;
 *         this.left = left;
 *         this.right = right;
 *     }
 * }
 */
class Solution {

    Set<Integer> set653 = new HashSet<>();

    public boolean findTarget(TreeNode root, int k) {
        if (root == null) {
            return false;
        }
        if (set653.contains(k - root.val)) {
            return true;
        }
        set653.add(root.val);
        return findTarget(root.left, k) || findTarget(root.right, k);
    }
}