[路飞]leetcode110. 平衡二叉树

137 阅读1分钟

Offer 驾到,掘友接招!我正在参与2022春招打卡活动,点击查看活动详情

一、题目描述

leetcode110. 平衡二叉树

给定一个二叉树,判断它是否是高度平衡的二叉树。

本题中,一棵高度平衡二叉树定义为: 一个二叉树每个节点 的左右两个子树的高度差的绝对值不超过 1 。

示例 1:

image.png

输入: root = [3,9,20,null,null,15,7]
输出: true

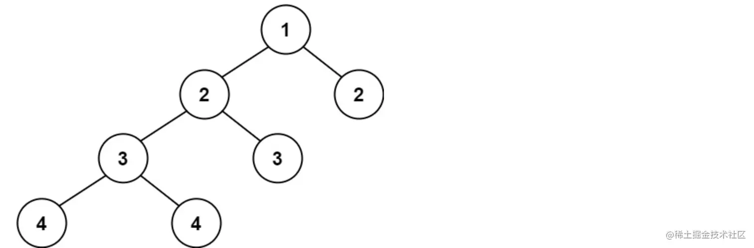
示例 2:

image.png

输入: root = [1,2,2,3,3,null,null,4,4]
输出: false

示例 3:

输入: root = []
输出: true

提示:

  • 树中的节点数在范围 [0, 5000] 内
  • -104 <= Node.val <= 104

二、思路分析

递归

无需展开理解,利用递归函数的语意信息去进行程序设计。

自底而上的递归法,递归判断当前节点左右子树是否平衡,如果不平衡直接返回一个负数 -2 ,如果左右子树都平衡,再看当前节点下左右是否平衡,返回平衡情况下的最大高度。
自底而上的递归, 优点在于,当遇到一个子节点不平衡了就直接退出

三、JavaScript代码

/**
 * Definition for a binary tree node.
 * function TreeNode(val, left, right) {
 *     this.val = (val===undefined ? 0 : val)
 *     this.left = (left===undefined ? null : left)
 *     this.right = (right===undefined ? null : right)
 * }
 */
/**
 * @param {TreeNode} root
 * @return {boolean}
 */
function getHeight(root) {
    if(root == null) return 0;
    let l = getHeight(root.left);
    let r = getHeight(root.right);
    if(l < 0 || r < 0) return -2;
    if(Math.abs(l - r) > 1) return -2;
    return Math.max(l, r) + 1;
}
var isBalanced = function(root) {
    return getHeight(root) >= 0
};

四、总结