leetcode刷题记录-653. 两数之和 IV - 输入 BST

449 阅读1分钟

Offer 驾到,掘友接招!我正在参与2022春招打卡活动,点击查看活动详情

前言

今天的题目难度为简单,题目为简单的搜索树题目,解题的方式很多,本文主要是用深度优先的方法来解题。

每日一题

今天的题目是 653. 两数之和 IV - 输入 BST,难度为简单

  • 给定一个二叉搜索树 root 和一个目标结果 k,如果 BST 中存在两个元素且它们的和等于给定的目标结果,则返回 true。

 

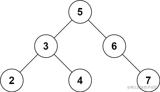
示例 1:

image.png

输入: root = [5,3,6,2,4,null,7], k = 9
输出: true

示例 2:

image.png

输入: root = [5,3,6,2,4,null,7], k = 28
输出: false

提示:

  • 二叉树的节点个数的范围是  [1, 104].
  • -104 <= Node.val <= 104
  • root 为二叉搜索树
  • -105 <= k <= 105

题解

深度优先遍历 + 哈希表

最近做了挺多关于链表或者树的数据结构题,对于这两种数据结构也算是有了一个大概的了解了,这道题就不再对数据结构做太多的分析。

题目要求我们找到两个数相加会等于要求的值,那么首先想到用哈希表来存值,这样我们在碰到每一个值的时候,就只要去判断一下当前的 (k-root.val) 是否存在于哈希表当中,就能够判断是否有两个数相加等于k。

那么在知道了怎么判断是否相加为 k 之后,我们就只要根据结点的左孩子和右孩子不断地去进行递归,直到找到满足条件的值位置。

递归到一个结点的时候,如果当前的值不满足,那么就将值加入哈希表当中,并且如果存在左孩子或者右孩子,就进行递归。

当当前结点为 null 或者找到了需要的值的时候,就返回,并且我们可以定义一个变量初始值为 false,在我们找到了需要的数之后就将它修改为 true,这样最后只需要返回这个值就好了。

/**
 * Definition for a binary tree node.
 * function TreeNode(val, left, right) {
 *     this.val = (val===undefined ? 0 : val)
 *     this.left = (left===undefined ? null : left)
 *     this.right = (right===undefined ? null : right)
 * }
 */
/**
 * @param {TreeNode} root
 * @param {number} k
 * @return {boolean}
 */
 var findTarget = function(root, k) {
    const set = new Set();
    let res = false
    const dfs = (root, k) => {
        if (!root) {
            return
        }
        if (set.has(k - root.val)) {
            res = true
            return
        }
        set.add(root.val);
        if(root.left) dfs(root.left, k)
        if(root.right) dfs(root.right, k)
    }
    dfs(root, k)
    return res;
};

image.png