纵向联邦学习场景下的逻辑回归(LR)

1,226 阅读3分钟

【摘要】 海量训练数据是人工智能技术在各个领域成功应用的重要条件。例如,计算机视觉和商务经融推荐系统中的 AI 算法都依靠大规模标记良好的数据才能获得较好的推理效果。然而在医疗、银行以及一些政务领域中,行业内对数据隐私的保护越来越强,造成可用数据严重匮乏的现状。针对上述问题,华为云可信智能计算服务( TICS)专为打破银行、政企等行业的数据壁垒,实现数据安全共享,设计了多方联邦学习方案。 本篇博客主要介绍了华为云可信智能计算服务(TICS)采用的纵向联邦逻辑回归(LR)方案。

一、什么是逻辑回归?

回归是描述自变量和因变量之间相互依赖关系的统计分析方法。线性回归作为一种常见的回归方法,常用作线性模型(或线性关系)的拟合。

逻辑回归(logistic regression)虽然也称为回归,却不是一种模型拟合方法,而是一种简单的“二分类”算法。具有实现简单,算法高效等诸多优点。

图1.1 二维线性回归 图1.2 三维线性回归

1.1 线性回归(linear regression)

图1.1、1.2分别表示二维和三维线性回归模型,图1.1的拟合直接(蓝线)可表示为 y=ax+b,所有数据点(红点)到直线的总欧式距离最短,欧式距离常用作计算目标损失函数,进而求解模型;类似的,图1.2的所有数据点到二维平面的总欧式距离最短。所以线性回归模型通常可以表示为:

其中θ表示模型系数。

1.2 逻辑回归(LR)

LR是一种简单的有监督机器学习算法,对输入x,逻辑回归模型可以给出 y<0 or y>0 的概率,进而推断出样本为正样本还是负样本。

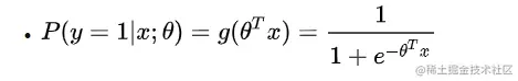
LR引入sigmoid函数来推断样本为正样本的概率,输入样本 x 为正样本的概率可以表示为:P(y|x) = g(y),其中 g() 为sigmoid函数,

曲线图如图1.3所示,输出区间为0~1:

图1.3 sigmoid曲线

对于已知模型 θ 和样本 x,y=1的概率可以表示为:

所以sigmoid尤其适用于二分类问题,当 g(y) > 0.5 时,表示 P(y=1|x) > 0.5,将其判为正样本,对应 y>0 ;反之,当 g(y) < 0.5 时,表示 P(y=1|x) < 0.5,将其判为负样本,对应 y<0。

1.3 LR损失函数

LR采用对数损失函数,对于训练集x∈S,损失函数可以表示为(参考zhuanlan.zhihu.com/p/44591359 ):

梯度下降算法是LR模型的经典解法之一,模型迭代更新的表达式如下:

其中

  • l()为目标损失函数,本质为平均对数损失函数。
  • S'为批处理数据集(大小为batchsize),通过批处理方式引入随机扰动,使得模型权重更加快速逼近最优值。
  • α为学习率,直接影响模型的收敛速度,学习率过大会导致loss左右震荡无法达到极值点,学习率太小会导致loss收敛速度过慢,长时间找不到极值点。

二、纵向联邦学习场景下的LR

关于纵向联邦学习的介绍已经屡见不鲜,市面上也涌现出很多优秀的产品,比如FATE、华为可信智能计算TICS等。纵向联邦可以实现多用户在不暴露己方数据的前提下,共享数据和特征,训练出精度更高的模型,对于金融和政务等众多行业具有重要意义。

图2.1 纵向联邦LR

2.1 LR的纵向联邦实现

纵向联邦学习的参与方都是抱着共享数据、不暴露己方数据的目的加入到联邦中,所以任何敏感数据都必须经过加密才能出己方信任域(图2.1,参考arxiv.org/pdf/1711.10… ),这就引入了同态加密算法。同态加密为密文计算提供了可行性,同时也一定程度上影响了机器学习算法的性能。常见的同态加密库包括seal、paillier等。

LR的纵向联邦流程如图2.2所示,host表示只有特征的一方,guest表示包含标签的一方。

图 2.2 纵向联邦LR算法实现流程

  • 在训练开始之前,作业双方需要交换同态公钥。

  • 每轮epoch(迭代)的batch(一轮batchsize的计算为一个batch)循环中,包含calEncryptedU-->calEncryptedGradient-->decryptGradient-->updateLrModel四步,guest和host都需要按此顺序执行一遍( 流程图中只体现了guest作为发起方的执行流程)。

  • A2步骤中梯度加随机噪声的目的是为了防止己方U泄露,造成安全问题。

    由于同态加密计算只支持整数、浮点数的加法和乘法,所以将1.3中的模型迭代公式中的指数部分表示成泰勒表达式形式:

本文由华为云发布。