653. 两数之和 IV - 输入 BST :「哈希表+树的搜索」&「双指针 + BST 中序遍历」

591 阅读2分钟

Offer 驾到,掘友接招!我正在参与2022春招打卡活动,点击查看活动详情

题目描述

这是 LeetCode 上的 650. 只有两个键的键盘 ,难度为 简单

Tag : 「二叉树」、「迭代」、「中序遍历」、「双指针」、「哈希表」、「树的搜索」

给定一个二叉搜索树 root 和一个目标结果 k,如果 BST 中存在两个元素且它们的和等于给定的目标结果,则返回 true

示例 1:

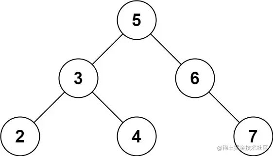
输入: root = [5,3,6,2,4,null,7], k = 9

输出: true

示例 2:

输入: root = [5,3,6,2,4,null,7], k = 28

输出: false

提示:

  • 二叉树的节点个数的范围是  [1,104][1, 10^4]
  • 104 <=Node.val<=104-10^4 <= Node.val <= 10^4
  • root 为二叉搜索树
  • 105 <=k<=105-10^5 <= k <= 10^5

哈希表 + 树的搜索

在递归搜索过程中记录下相应的节点值(使用 Set 集合),如果在遍历某个节点 xx 时发现集合中存在 kx.valk - x.val,说明存在两个节点之和等于 kk,返回 True,若搜索完整棵树都没有则返回 False

代码:

class Solution {
    Set<Integer> set = new HashSet<>();
    public boolean findTarget(TreeNode root, int k) {
        if (root == null) return false;
        if (set.contains(k - root.val)) return true;
        set.add(root.val);
        return findTarget(root.left, k) | findTarget(root.right, k);
    }
}
  • 时间复杂度:O(n)O(n)
  • 空间复杂度:O(n)O(n)

双指针 + BST 中序遍历

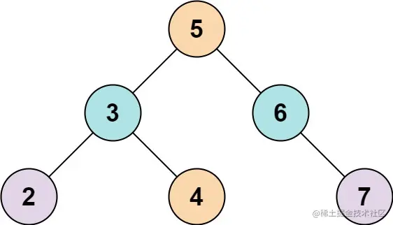
解法一中没有利用 BST 特性,利用 BST 中序遍历有序的特性,我们可以实现类似「双指针」的效果。

起始先让 BST 的最左链和最右链完全入栈,此时栈顶元素为 BST 中的最小值和最大值,分别使用 lr 充当指针代指,根据两指针指向的节点值之和与 kk 的大小关系来指导如何让 lr 移动,l 的移动过程其实就是找下一个比 l.val 更大的值,而 r 的移动过程其实就是找下一个比 r.val 更小的值。

代码:

class Solution {
    public boolean findTarget(TreeNode root, int k) {
        Deque<TreeNode> ld = new ArrayDeque<>(), rd = new ArrayDeque<>();
        TreeNode temp = root;
        while (temp != null) {
            ld.addLast(temp);
            temp = temp.left;
        }
        temp = root;
        while (temp != null) {
            rd.addLast(temp);
            temp = temp.right;
        }
        TreeNode l = ld.peekLast(), r = rd.peekLast();
        while (l.val < r.val) {
            int t = l.val + r.val;
            if (t == k) return true;
            else if (t < k) l = getNext(ld, true);
            else r = getNext(rd, false);
        }
        return false;
    }
    TreeNode getNext(Deque<TreeNode> d, boolean isLeft) {
        TreeNode cur = d.pollLast();
        TreeNode node = isLeft ? cur.right : cur.left;
        while (node != null) {
            d.addLast(node);
            node = isLeft ? node.left : node.right;
        }
        return d.peekLast();
    }
}
  • 时间复杂度:O(n)O(n)
  • 空间复杂度:O(n)O(n)

最后

这是我们「刷穿 LeetCode」系列文章的第 No.653 篇,系列开始于 2021/01/01,截止于起始日 LeetCode 上共有 1916 道题目,部分是有锁题,我们将先把所有不带锁的题目刷完。

在这个系列文章里面,除了讲解解题思路以外,还会尽可能给出最为简洁的代码。如果涉及通解还会相应的代码模板。

为了方便各位同学能够电脑上进行调试和提交代码,我建立了相关的仓库:github.com/SharingSour…

在仓库地址里,你可以看到系列文章的题解链接、系列文章的相应代码、LeetCode 原题链接和其他优选题解。