对称二叉树

216 阅读1分钟

题目描述


给你一个二叉树的根节点 root , 检查它是否轴对称。  

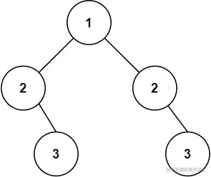
示例 1:

image.png

输入:root = [1,2,2,3,4,4,3]
输出:true

示例 2:

image.png

输入:root = [1,2,2,null,3,null,3]
输出:false

提示:

  • 树中节点数目在范围 [1, 1000] 内
  • -100 <= Node.val <= 100  

进阶:你可以运用递归和迭代两种方法解决这个问题吗?


题目解释

错误解法:由于之前树的逻辑,让我会想先去中序遍历树,返回数组,再对比数组是否对称。

正确解法: 如示例一中图所示:。判断每次树的左节点是否等于右节点,注意,这边节点4 应该与节点7对比,不然会搞错。

image.png

解法1 递归

/**
 * Definition for a binary tree node.
 * function TreeNode(val, left, right) {
 *     this.val = (val===undefined ? 0 : val)
 *     this.left = (left===undefined ? null : left)
 *     this.right = (right===undefined ? null : right)
 * }
 */
/**
 * @param {TreeNode} root
 * @return {boolean}
 */
var isSymmetric = function(root) {

    const check = (leftNode,rightNode) => {
        if(!leftNode && !rightNode){
            return true;
        }

        if(!leftNode || !rightNode){
            //一边有节点 一边没有 不对称
            return false;
        }

        return leftNode.val == rightNode.val && check(leftNode.left,rightNode.right) && check(leftNode.right,rightNode.left)
    }

    return check(root.left,root.right)

};

image.png