攻不下dfs不参加比赛(二十八)

172 阅读4分钟

Offer 驾到,掘友接招!我正在参与2022春招打卡活动,点击查看活动详情

为什么练dfs

相信学过数据结构的朋友都知道dfs(深度优先搜索)是里面相当重要的一种搜索算法,可能直接说大家感受不到有条件的大家可以去看看一些算法比赛。这些比赛中每一届或多或少都会牵扯到dfs,可能提到dfs大家都知道但是我们为了避免眼高手低有的东西看着自己很明白就是写不出来。为了避免这种尴尬我们这几天乘着这个活动练练,好了我们话不多说开始肥学。

PS:这两天发现有的肥友不知道什么是DFS我还是简单说一下吧不然这题很难做下去。

深度优先搜索属于图算法的一种,英文缩写为DFS即Depth First Search.其过程简要来说是对每一个可能的分支路径深入到不能再深入为止,而且每个节点只能访问一次.

在这里插入图片描述

举例说明之:下图是一个无向图,如果我们从A点发起深度优先搜索(以下的访问次序并不是唯一的,第二个点既可以是B也可以是C,D),则我们可能得到如下的一个访问过程:A->B->E(没有路了!回溯到A)->C->F->H->G->D(没有路,最终回溯到A,A也没有未访问的相邻节点,本次搜索结束).简要说明深度优先搜索的特点:每次深度优先搜索的结果必然是图的一个连通分量.深度优先搜索可以从多点发起.如果将每个节点在深度优先搜索过程中的"结束时间"排序(具体做法是创建一个list,然后在每个节点的相邻节点都已被访问的情况下,将该节点加入list结尾,然后逆转整个链表),则我们可以得到所谓的"拓扑排序",即topological sort. [1]

题目

给你一个链表的头节点 head ,判断链表中是否有环。

如果链表中有某个节点,可以通过连续跟踪 next 指针再次到达,则链表中存在环。 为了表示给定链表中的环,评测系统内部使用整数 pos 来表示链表尾连接到链表中的位置(索引从 0 开始)。注意:pos 不作为参数进行传递 。仅仅是为了标识链表的实际情况。

如果链表中存在环 ,则返回 true 。 否则,返回 false 。

示例 1:

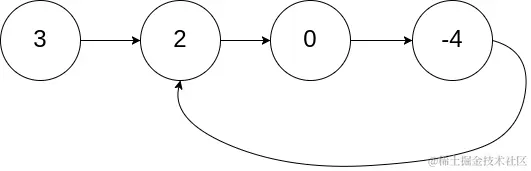
在这里插入图片描述

输入:head = [3,2,0,-4], pos = 1 输出:true 解释:链表中有一个环,其尾部连接到第二个节点。 示例 2:

在这里插入图片描述

输入:head = [1,2], pos = 0 输出:true 解释:链表中有一个环,其尾部连接到第一个节点。 示例 3:

在这里插入图片描述

输入:head = [1], pos = -1 输出:false 解释:链表中没有环。

思路: 最容易想到的方法是遍历所有节点,每次遍历到一个节点时,判断该节点此前是否被访问过。

具体地,我们可以使用哈希表来存储所有已经访问过的节点。每次我们到达一个节点,如果该节点已经存在于哈希表中,则说明该链表是环形链表,否则就将该节点加入哈希表中。重复这一过程,直到我们遍历完整个链表即可。

解一:取巧法

基本思路是遍历过的元素把val改变成一个比较特殊的值,当递归过程中再次出现这个val说明为以前遍历过的节点说明为循环链表。

/**
 * Definition for singly-linked list.
 * class ListNode {
 *     int val;
 *     ListNode next;
 *     ListNode(int x) {
 *         val = x;
 *         next = null;
 *     }
 * }
 */
public class Solution {
    public boolean dfs(ListNode root){
        if(root==null)return false;
        if(root.val==-999)return true;
        root.val=-999;//留下遍历的痕迹
        return dfs(root.next);
    }
    public boolean hasCycle(ListNode head) {
        return dfs(head);
    }
}

解二:

public class Solution {
    public boolean hasCycle(ListNode head) {
        Set<ListNode> seen = new HashSet<ListNode>();
        while (head != null) {
            if (!seen.add(head)) {
                return true;
            }
            head = head.next;
        }
        return false;
    }
}


测试链接传送门

重要的事情

如果你在学习python或者Java哪怕是C遇到问题都可以来给我留言,因为在学习初期新手总会走很多弯路,这个时候如果没有有个人来帮一把的话很容易就放弃了。身边很多这样的例子许多人学着学着就转了专业换了方向,不仅是自身问题还是没有正确的学习。所以作为一个过来人我希望有问题给我留言,说不上是帮助就是顺手敲几行字的事情。