斐波那契数列

166 阅读2分钟

Offer 驾到,掘友接招!我正在参与2022春招打卡活动,点击查看活动详情

题目描述

斐波那契数 (通常用 F(n) 表示)形成的序列称为 斐波那契数列 。该数列由 0 和 1 开始,后面的每一项数字都是前面两项数字的和。

也就是:

F(0) = 0F(1) = 1
F(n) = F(n - 1) + F(n - 2),其中 n > 1

给定 n ,请计算 F(n)

题目分析与解答

1. 递归

该数列从 0 和 1 开始,每次计算都只需要前面的两项即可,根据上面给的公式,首先可以使用递归解决

var fib = function (n) {
  // 1. 递归
  if (n < 2) return n
  return fib(n - 1) + fib(n - 2)
}

但是这会产生大量重复计算,例如:

f(3) = f(2) + f(1)
f(4) = f(3) + f(2)

这里的 f(2) 就重复计算了

2. 数组递推

我们可以把计算过的数字使用数组缓存起来,避免重复计算

var fib = function (n) {
  // 2. 数组递推
  const arr = [0, 1]
  for (let i = 2; i <= n; i++) {
    arr[i] = arr[i - 1] + arr[i - 2]
  }
  return arr[n]
}

但是这样最终数组的长度是 n,而我们需要的其实只有最后一项,前面的空间都浪费了

所以我们其实可以只使用两个变量来缓存前两项即可

3. 滚动数组的思想

var fib = function (n) {
  if (n < 2) return n
  let p = 0
  let q = 1
  let sum = 1
  for (let i = 3; i <= n; i++) {
    p = q
    q = sum
    sum = p + q
  }
  return sum
}

这里就三个变量 p、q、sum,分别代表数列中连续的 3 项,例如:

初始化如下

  0  1  1  2  3  5...
  p  q  sum

现在要计算第 3 个,也就是 2,那么就需要

  1. p 往前一步,等于 q(1)
  2. q 往前一步,等于 sum(1)
  3. sum 往前一步,等于 p + q(2)

这样时间复杂度为 O(n):循环不超过 n 次;空间复杂度 O(1),只使用了 3 个变量

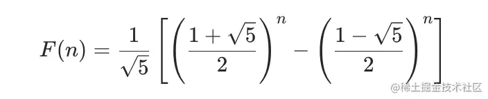
4. 通项公式

其实斐波那契数列的计算可以推导出一个通项公式,直接使用公式计算即可

image-20220320145607142.png

var fib = function (n) {
  const sqrt5 = Math.sqrt(5)
  const fibN = Math.pow((1 + sqrt5) / 2, n) - Math.pow((1 - sqrt5) / 2, n)
  return Math.round(fibN / sqrt5)
}