python 编程基础案例

265 阅读2分钟

本文已参与「新人创作礼」活动,一起开启掘金创作之路 

1. 编写一个交互式代码,键盘输入矩形的长和宽,格式化输出“当矩形长度为cm和cm时,该矩形的周长为cm,面积为cm2.”

代码:(不要截图,要文本格式代码,下同)

width=eval(input("请输入矩形的长:"))
height=eval(input("请输入矩形的宽:"))
length=2*(width+height)
area=width*height
print('当矩形长度为{}cm和{}cm时,该矩形的周长为{}cm,面积为{}cm2.'.format(area,width,height,area))

结果:(可以截图,也可以文本格式结果,下同) 在这里插入图片描述

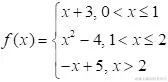
2. 从键盘任意输入一个实数,计算下面函数值

在这里插入图片描述

代码:

x_value=eval(input("请输入x值:"))
def f(x):
    if x>0 and x<=1:
        return x+3
    elif x>1 and x<=2:
        return x*x-4
    else:
        return 5-x
y=f(x_value) 
print("result:%d"%y)

结果:

在这里插入图片描述

3. 编程求 100以内的能同时被3和5整除的正整数

代码:

for i in range(1,101):
    if i%3==0 and i%5==0:
        print(i,end=",")

结果:

在这里插入图片描述

4. 利用while循环,列出200以内,能被3整除但是不能被5整除的正整数

代码:

x=1
while x<=200:
if x%3==0 and x%5!=0:
print(x,end=",")
x=x+1

结果: 在这里插入图片描述

5. 绘制x在[1.5,7.3]范围内的三条曲线,

.在这里插入图片描述

代码:

import numpy as np
import matplotlib.pyplot as plt
x = np.linspace(0, 2 * np.pi, 50)
plt.plot(x, np.cos(2*x)+np.sin(3*x), 'r-o',x, np.cos(x)**2+np.sin(x)**3, 'g--',
x, (np.cos(x)-np.sin(x))**2, 'b-o')
plt.show()

结果: 在这里插入图片描述

6.综合编程题(选做,有附加分)

已知我国现行个人所得税分段计算方法如下,某公司A,B,C三人年薪分别为95万元,45万元,14.5万元,试编程求解三人各自应纳税总额和税后年薪? 在这里插入图片描述

代码:

s1=36000*0.03
s2=(144000-36000)*0.1
s3=(300000-144000)*0.2
s4=(420000-300000)*0.25
s5=(660000-420000)*0.3
s6=(960000-660000)*0.35
def nashui(x):
    if x<=36000:
        return x*0.03
    elif x<=144000:
        return s1+(x-36000)*0.1
    elif x<=300000:
        return s1+s2+(x-144000)*0.2
    elif x<=420000:
        return s1+s2+s3+(x-300000)*0.25
    elif x<=660000:
        return s1+s2+s3+s4+(x-420000)*0.3
    elif x<=960000:
        return s1+s2+s3+s4+s5+(x-660000)*0.35
    else:
        return s1+s2+s3+s4+s5+s6+(x-960000)*0.45
import numpy as np
A=950000#A总收入
B=450000
C=145000
N_A=nashui(A)#A纳税总额
N_B=nashui(B)
N_C=nashui(C)
print("A应纳税总额为{}元和税后年薪为{}元".format(N_A,A-N_A))
print("B应纳税总额为{}元和税后年薪为{}元".format(N_B,B-N_B))
print("C应纳税总额为{}元和税后年薪为{}元".format(N_C,C-N_C))

结果:

图片1.png