144. 二叉树的前序遍历

106 阅读1分钟

144. 二叉树的前序遍历

Offer 驾到,掘友接招!我正在参与2022春招打卡活动,点击查看活动详情

题目描述

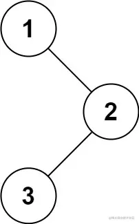
给你二叉树的根节点 root ,返回它节点值的 前序 **遍历。

image.png

输入: root = [1,null,2,3]
输出: [1,2,3]

具体题目链接: 题目链接

思路:

分别递归和迭代

分析:

  1. if(!root)return []; //判断递归终止条件
    2.写代码=和==一定要分清,一个是赋值 一个是比较
    3.let hash = {}//定义hash数组 let res = [];//定义额外数组
    4.二叉树题目的一个难点就是,如何把题目的要求细化成每个节点需要做的事情。
    5.头结构 function TreeNode(val, left, right) { this.val = (val===undefined ? 0 : val) this.left = (left===undefined ? null : left) this.right = (right===undefined ? null : right) }
    6递归函数的循环参数:不要使用root,容易混淆,使用cur
    7.写递归代码步骤 终止条件边界值 定义需要的变量 选择遍历方式(前中后序) 递归(注意一些变量的值的改变) 返回题目的要求
    8.终止条件返回值的类型 要和函数返回的值类型一致:return root或者额外定义的数组 res:return []

代码:

var preorderTraversal = function(root) {
    // let res= [];//迭代
    // const dfs=function(cur) {
    //     if(!cur)return;
    //     res.push(cur.val);
    //     dfs(cur.left);
    //     dfs(cur.right);
    // }

    // dfs(root);
    // return res;

    if(!root)return [];
    let res = [];//递归
    let stk = [];
    stk.push(root);
    while(stk.length) {
        let p = stk.pop();
        res.push(p.val);
        if(p.right)stk.push(p.right);
        if(p.left)stk.push(p.left);
    }
    return res;
};

总结:

这是算法系列文章「二叉树」的相关题解