[路飞] leetcode226. 翻转二叉树

2,354 阅读1分钟

Offer 驾到,掘友接招!我正在参与2022春招打卡活动,点击查看活动详情

一、题目描述

leetcode226. 翻转二叉树

给你一棵二叉树的根节点 root ,翻转这棵二叉树,并返回其根节点。

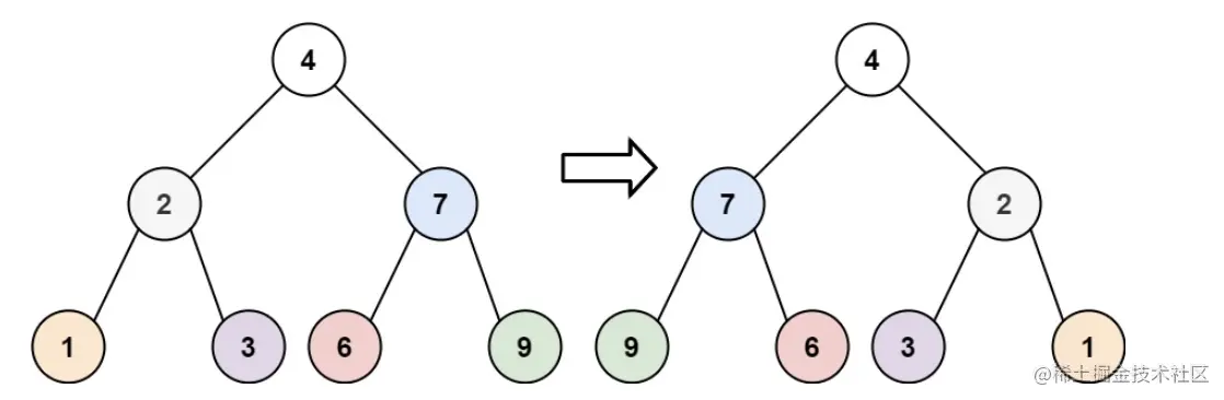
示例 1:

image.png

输入: root = [4,2,7,1,3,6,9]
输出: [4,7,2,9,6,3,1]

示例 2:

image.png

输入: root = [2,1,3]
输出: [2,3,1]

示例 3:

输入: root = []
输出: []

提示:

  • 树中节点数目范围在 [0, 100] 内
  • -100 <= Node.val <= 100

二、思路分析

翻转二叉树,数值对称;

递归

无需展开理解,利用递归函数的语意信息去进行程序设计。
先交换当前节点的左右两个子树,然后再递归进行左子树翻转和右子树翻转;

或者先反转子节点,如果当前节点root的左右子树都反转完以后,直接交换root的左右子树就可以

三、JavaScript代码

/**
 * Definition for a binary tree node.
 * function TreeNode(val, left, right) {
 *     this.val = (val===undefined ? 0 : val)
 *     this.left = (left===undefined ? null : left)
 *     this.right = (right===undefined ? null : right)
 * }
 */
/**
 * @param {TreeNode} root
 * @return {TreeNode}
 */
 // 第一种从根往子节点递归处理
var invertTree = function(root) {
    if(root == null) return root;
    let mid = root.left
    root.left = root.right;
    root.right = mid;
    invertTree(root.left);
    invertTree(root.right);
    return root
};

// 先处理子节点,利用递归回溯结果
var invertTree = function(root) {
    if(root == null) return root;
    let left = invertTree(root.left);
    let right = invertTree(root.right);
    root.left = right;
    root.right = left;
    return root
};

四、总结