【前端面试常见算法题系列】141. 环形链表(简单)

509 阅读2分钟

“Offer 驾到,掘友接招!我正在参与2022春招打卡活动,点击查看活动详情。”

一、题目描述

给你一个链表的头节点 head ,判断链表中是否有环。

如果链表中有某个节点,可以通过连续跟踪 next 指针再次到达,则链表中存在环。 为了表示给定链表中的环,评测系统内部使用整数 pos 来表示链表尾连接到链表中的位置(索引从 0 开始)。注意:pos 不作为参数进行传递 。仅仅是为了标识链表的实际情况。

如果链表中存在环 ,则返回 true 。 否则,返回 false

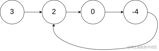
示例 1:

image.png

输入:head = [3,2,0,-4], pos = 1
输出:true
解释:链表中有一个环,其尾部连接到第二个节点。

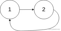
示例 2:

image.png

输入:head = [1,2], pos = 0
输出:true
解释:链表中有一个环,其尾部连接到第一个节点。

示例 3:

image.png

输入:head = [1], pos = -1
输出:false
解释:链表中没有环。

提示:

  • 链表中节点的数目范围是 [0, 104]
  • -105 <= Node.val <= 105
  • pos-1 或者链表中的一个 有效索引

进阶:你能用 O(1)(即,常量)内存解决此问题吗?

二、思路分析

题目要我们判断链表是否存在环,翻译一下也就是:判断链表是否能走到 NULL

小明:噢~我知道了,直接让 head 遍历,如果 head == NULLreturn false ,否则 return true ,很简单嘛~~
李华:不能吧,如果示例是一个没有环形的链表,确实可以这样。但如果给了一个环形链表,那不是会一直循环下去么,啥时候返回呀?
小明:是啊,那应该用什么办法退出循环呢?遇到 base casereturn
李华:还记得 双指针技巧 吗,我们可以此为切入点。

思路如下:

  • 环形链表就像学校操场上的跑道,双指针就像跑道上的两个人,证明链表环形就相当于证明跑道上的两个人会相遇。
  • 而人与人的跑步速度是不同的,那么在学校跑步比赛时,是不是会有跑得快的人在前方,(假设人的体力无限,速度始终保持不变)跑完一圈后追上了跑得慢的人,那一瞬间两个人就相遇了,这就证明了跑道是圆形的(如果不是圆形的那肯定不会相遇了呀)。
  • 在这个简单的类比举例下,我们就可以开始做这道题了:定义两个指针,快指针 fast ,慢指针 slow ,初始值都为 head ,然后开始遍历,快指针始终比慢指针多走一步,如果 slow == fastreturn true ,如果不相等就继续遍历嘛。那要遍历到什么时候呢,如果链表真是环形的,自然会有 slow == fast 的时候,如果不是环形的话,就像小明说的那样 遇到 NULL 就可以退出循环了,也就 return false 了,因此循环条件便为 fast != NULL && fast -> next != NULL

如此,这道题就 over 了。完结撒花 ^_^

三、AC 代码

/**
 * Definition for singly-linked list.
 * struct ListNode {
 *     int val;
 *     ListNode *next;
 *     ListNode(int x) : val(x), next(NULL) {}
 * };
 */
class Solution {
public:
    bool hasCycle(ListNode *head) {
        ListNode* slow = head, * fast = head;
        while (fast != NULL && fast -> next != NULL) {
            slow = slow -> next;
            fast = fast -> next -> next;
            if (slow == fast) {
                return true;
            }
        }
        return false;
    }
};

四、总结

上文李华为什么一下子就能说出使用 双指针技巧 呢,对于高高高高手来说,应该就是经验吧,自然是做多了就知道该用什么方法解了;那对于高手呢^_^,我觉得就考验了思维和数学能力,将题目转换为数学问题,运用逻辑思维思考解决之法,时间足够应该就能解出来。

高高高高手都是从高手成长起来的(大家没有意见吧 doge),平时勤加思索,多总结,对一道题钻研透彻,做到举一反三,题也算刷的有价值了,你们觉得呢。