攻不下dfs不参加比赛(二十五)

128 阅读4分钟

Offer 驾到,掘友接招!我正在参与2022春招打卡活动,点击查看活动详情

为什么练dfs

相信学过数据结构的朋友都知道dfs(深度优先搜索)是里面相当重要的一种搜索算法,可能直接说大家感受不到有条件的大家可以去看看一些算法比赛。这些比赛中每一届或多或少都会牵扯到dfs,可能提到dfs大家都知道但是我们为了避免眼高手低有的东西看着自己很明白就是写不出来。为了避免这种尴尬我们这几天乘着这个活动练练,好了我们话不多说开始肥学。

PS:这两天发现有的肥友不知道什么是DFS我还是简单说一下吧不然这题很难做下去。

深度优先搜索属于图算法的一种,英文缩写为DFS即Depth First Search.其过程简要来说是对每一个可能的分支路径深入到不能再深入为止,而且每个节点只能访问一次.

在这里插入图片描述

举例说明之:下图是一个无向图,如果我们从A点发起深度优先搜索(以下的访问次序并不是唯一的,第二个点既可以是B也可以是C,D),则我们可能得到如下的一个访问过程:A->B->E(没有路了!回溯到A)->C->F->H->G->D(没有路,最终回溯到A,A也没有未访问的相邻节点,本次搜索结束).简要说明深度优先搜索的特点:每次深度优先搜索的结果必然是图的一个连通分量.深度优先搜索可以从多点发起.如果将每个节点在深度优先搜索过程中的"结束时间"排序(具体做法是创建一个list,然后在每个节点的相邻节点都已被访问的情况下,将该节点加入list结尾,然后逆转整个链表),则我们可以得到所谓的"拓扑排序",即topological sort. [1]

题目

给你一个二叉搜索树的根节点 root ,返回 树中任意两不同节点值之间的最小差值 。

差值是一个正数,其数值等于两值之差的绝对值。

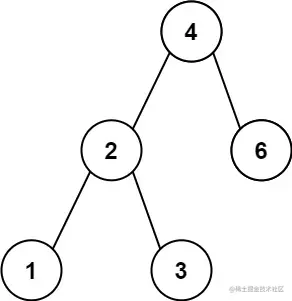
示例 1: 在这里插入图片描述

输入:root = [4,2,6,1,3]
输出:1

示例 2:

在这里插入图片描述

输入:root = [1,0,48,null,null,12,49]
输出:1
 

思路:看到搜索二叉树兄弟们没有中序遍历解决不了的问题 本题要求二叉搜索树任意两节点差的绝对值的最小值,而我们知道二叉搜索树有个性质为二叉搜索树中序遍历得到的值序列是递增有序的,因此我们只要得到中序遍历后的值序列即能用上文提及的方法来解决。

朴素的方法是经过一次中序遍历将值保存在一个数组中再进行遍历求解,我们也可以在中序遍历的过程中用 \textit{pre}pre 变量保存前驱节点的值,这样即能边遍历边更新答案,不再需要显式创建数组来保存,需要注意的是 \textit{pre}pre 的初始值需要设置成任意负数标记开头

解一:开胃篇为了让大家知道解法二的好处

/**
 * Definition for a binary tree node.
 * public class TreeNode {
 *     int val;
 *     TreeNode left;
 *     TreeNode right;
 *     TreeNode() {}
 *     TreeNode(int val) { this.val = val; }
 *     TreeNode(int val, TreeNode left, TreeNode right) {
 *         this.val = val;
 *         this.left = left;
 *         this.right = right;
 *     }
 * }
 */
class Solution {
    int minnum=10000;
    public List<Integer> inorder(TreeNode root,List<Integer>list){
        if(root==null)return list;
        inorder(root.left,list);
        list.add(root.val);
        inorder(root.right,list);
        return list;
    }
    public int getMinimumDifference(TreeNode root) {
        List<Integer> list=new ArrayList<Integer>();
        list=inorder(root,list);
        int minnum=100000;
        int flag=list.get(0);
        for(int i=1;i<list.size();i++){
            minnum=Math.min(Math.abs(flag-list.get(i)),minnum);
            flag=list.get(i);
        }
        return minnum;
    }
}

解二:上一题我们存到了list里面其实不用,下面看解法

/**
 * Definition for a binary tree node.
 * public class TreeNode {
 *     int val;
 *     TreeNode left;
 *     TreeNode right;
 *     TreeNode() {}
 *     TreeNode(int val) { this.val = val; }
 *     TreeNode(int val, TreeNode left, TreeNode right) {
 *         this.val = val;
 *         this.left = left;
 *         this.right = right;
 *     }
 * }
 */
class Solution {
    int pre;
    int ans;

    public int getMinimumDifference(TreeNode root) {
        ans = Integer.MAX_VALUE;
        pre = -1;
        dfs(root);
        return ans;
    }

    public void dfs(TreeNode root) {
        if (root == null) {
            return;
        }
        dfs(root.left);
        if (pre == -1) {
            pre = root.val;
        } else {
            ans = Math.min(ans, root.val - pre);
            pre = root.val;
        }
        dfs(root.right);
    }
}

测试链接传送门

重要的事情

如果你在学习python或者Java哪怕是C遇到问题都可以来给我留言,因为在学习初期新手总会走很多弯路,这个时候如果没有有个人来帮一把的话很容易就放弃了。身边很多这样的例子许多人学着学着就转了专业换了方向,不仅是自身问题还是没有正确的学习。所以作为一个过来人我希望有问题给我留言,说不上是帮助就是顺手敲几行字的事情。