刷题日记-203. 移除链表元素

447 阅读1分钟

Offer 驾到,掘友接招!我正在参与2022春招打卡活动,点击查看活动详情

一、题目描述

203. 移除链表元素 - 力扣(LeetCode) (leetcode-cn.com)

给你一个链表的头节点 head 和一个整数 val ,请你删除链表中所有满足 Node.val == val 的节点,并返回 新的头节点 。  

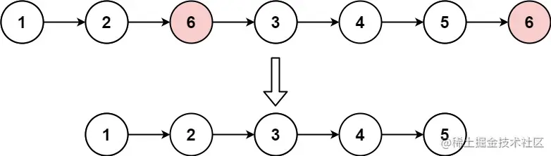
示例 1:

image.png

输入:head = [1,2,6,3,4,5,6], val = 6
输出:[1,2,3,4,5]

示例 2:

输入:head = [], val = 1
输出:[]

示例 3:

输入:head = [7,7,7,7], val = 7
输出:[]

 

提示:

  • 列表中的节点数目在范围 [0, 10^4] 内
  • 1 <= Node.val <= 50
  • 0 <= val <= 50

二、思路分析

采用迭代的方式,首先确立两个节点:当前节点以及当前节点的上一节点,如果当前节点的val与需移除的val相等时,将当前节点移除,即将上一节点的下一节点指向当前节点的下一节点,当前节点置为当前节点的下一节点,这里有种临界情况:头节点的val就为需要排除的val,此时便将头节点向后移动至下一节点即可。val不相等的情况,就将上一节点置为当前节点,当前节点的下一节点置为当前节点即可。最后,返回头节点。

三、AC 代码

/**
 * Definition for singly-linked list.
 * public class ListNode {
 *     int val;
 *     ListNode next;
 *     ListNode(int x) { val = x; }
 * }
 */
class Solution {
    public ListNode removeElements(ListNode head, int val) {
        ListNode current = head;
        ListNode prev = null;
        while(current != null) {
            if (current.val == val) {
                if (prev == null) {
                    current = current.next;
                    head = current;
                } else {
                    prev.next = current.next;
                    current = current.next;
                }
            } else {
                prev = current;
                current = current.next;
            }
        }

        return head;
    }
}

四、总结

熟悉熟悉链表的数据结构就行了。

范文参考

思路简单。性能高效,一看就懂 - 移除链表元素 - 力扣(LeetCode) (leetcode-cn.com)