20天刷题计划-206. 反转链表

258 阅读2分钟

Offer 驾到,掘友接招!我正在参与2022春招打卡活动,点击查看活动详情

一、题目描述:

给你单链表的头节点 head ,请你反转链表,并返回反转后的链表。

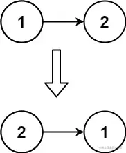
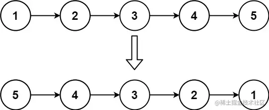
示例 1:

img

输入:head = [1,2,3,4,5] 输出:[5,4,3,2,1] 示例 2:

img

输入:head = [1,2] 输出:[2,1] 示例 3:

输入:head = [] 输出:[]

提示:

链表中节点的数目范围是 [0, 5000] -5000 <= Node.val <= 5000

进阶:链表可以选用迭代或递归方式完成反转。你能否用两种方法解决这道题?

二、思路分析:

目思路还是比较清晰易懂的,主要考察的知识点是链表操作相关,此题使用是递归函数,递归的关键在于反向工作

解题步骤如下:

从头节点一直递归到链表的最后一个结点,该结点就是反转后的头结点。 之后,每次函数在返回的过程中,让当前结点的下一个结点的 next 指针指向当前节点。 同时让当前结点的 next指针指向 NULL ,从而实现从链表尾部开始的局部反转 当递归函数全部出栈后,链表反转完成。

注意:反转后一定要注意清除节点原有的next值,避免出现环!!!

三、AC 代码:

class Solution {
    public ListNode reverseList(ListNode head) {
        if (head == null || head.next == null) {
            return head;
        }
        ListNode newHead = reverseList(head.next);
        head.next.next = head;
        head.next = null;
        return newHead;
    }
}
​

四、总结:

image-20220317195102279.png

希望以上讲解能帮助您理解链表的反转过程。但无论是文字描述,还是动图演示,都比不了自己在纸上对着代码画一遍来得深刻。

写题解不易,若对你有帮助,点赞评论再走吧。ヽ(✿゚▽゚)ノ,如有不足,请大家斧正。