刷题日记-112. 路径总和

275 阅读1分钟

Offer 驾到,掘友接招!我正在参与2022春招打卡活动,点击查看活动详情

一、题目描述

112. 路径总和 - 力扣(LeetCode) (leetcode-cn.com)

给你二叉树的根节点 root 和一个表示目标和的整数 targetSum 。判断该树中是否存在 根节点到叶子节点 的路径,这条路径上所有节点值相加等于目标和 targetSum 。如果存在,返回 true ;否则,返回 false

叶子节点 是指没有子节点的节点。

示例 1:

image.png

输入:root = [5,4,8,11,null,13,4,7,2,null,null,null,1], targetSum = 22
输出:true
解释:等于目标和的根节点到叶节点路径如上图所示。

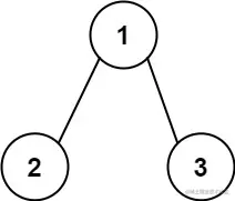
示例 2:

image.png

输入:root = [1,2,3], targetSum = 5
输出:false
解释:树中存在两条根节点到叶子节点的路径:
(1 --> 2): 和为 3
(1 --> 3): 和为 4
不存在 sum = 5 的根节点到叶子节点的路径。

示例 3:

输入: root = [], targetSum = 0
输出: false
解释: 由于树是空的,所以不存在根节点到叶子节点的路径。

提示:

  • 树中节点的数目在范围 [0, 5000] 内
  • -1000 <= Node.val <= 1000
  • -1000 <= targetSum <= 1000

二、思路分析

  1. 首先判断root是否为空结点,若不为空,执行深度优先搜索(dfs):
  2. 引入参数nowSum,意为在加上当前节点的数值之前,已经有的数值之和。
  3. dfs结束条件:左右子结点均为空。此时若nowSum与期望值相等,则返回1,否则返回0。
  4. 若左右有且仅有一个子结点为空,则继续搜索该不为空的子结点,并将当前已有数值之和传递下去。
  5. 若左右均不为空,则只要有一个子结点的返回值为1,则返回1.

三、AC 代码

/**
 * Definition for a binary tree node.
 * struct TreeNode {
 *     int val;
 *     TreeNode *left;
 *     TreeNode *right;
 *     TreeNode() : val(0), left(nullptr), right(nullptr) {}
 *     TreeNode(int x) : val(x), left(nullptr), right(nullptr) {}
 *     TreeNode(int x, TreeNode *left, TreeNode *right) : val(x), left(left), right(right) {}
 * };
 */
class Solution {
public:
    bool hasPathSum(TreeNode* root, int targetSum) {
        if(!root)   return false;
        return dfs(root,0,targetSum);
    }
    bool dfs(TreeNode* root,int nowSum,int targetSum)
    {
        nowSum+=root->val;
        if((!root->left)&&(!root->right))
        {
            if(nowSum==targetSum)   return true;
            return false;
        }
        if(!root->left) return dfs(root->right,nowSum,targetSum);
        if(!root->right)    return dfs(root->left,nowSum,targetSum);
        return dfs(root->right,nowSum,targetSum)||dfs(root->left,nowSum,targetSum);
    }
};

范文参考

详细通俗的思路分析,多解法 - 路径总和 - 力扣(LeetCode) (leetcode-cn.com)