ArrayList源码分析- JDK1.7

545 阅读3分钟

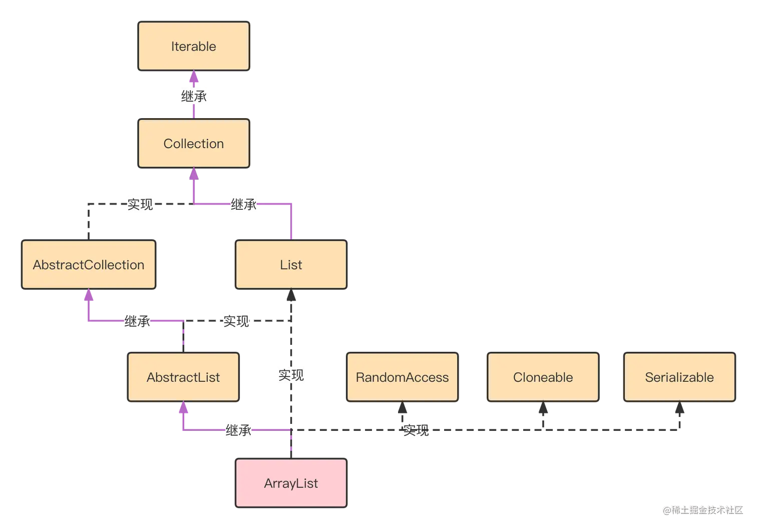
我们在平时开发的过程中,ArrayList绝对是最常用的集合之一,首先基于JDK1.7我们来看一看它的底层代码。 我们先看一下它的继承关系图:

未命名文件 (22).png ArrayList共继承了一个抽象类,实现了4个接口

  • List接口,主要提供数组的添加、删除、修改、迭代遍历等操作。

  • Cloneable接口,表示ArrayList支持克隆。

  • RandomAccess接口,表示ArrayList支持 快速的随机访问。

  • Serializable接口,表示ArrayList支持序列化的功能。

public class ArrayList<E> extends AbstractList<E>
        implements List<E>, RandomAccess, Cloneable, java.io.Serializable

构造方法

ArrayList有三个构造方法

  • 初始化指定容量
  • 初始化未指定容量,使用默认数组
  • 使用集合作为elementData

public ArrayList(int initialCapacity) {
    super();
    if (initialCapacity < 0)
        throw new IllegalArgumentException("Illegal Capacity: "+
                                           initialCapacity);
    this.elementData = new Object[initialCapacity];
}

/**
 * Constructs an empty list with an initial capacity of ten.
 */
public ArrayList() {
    super();
    this.elementData = EMPTY_ELEMENTDATA;
}

/**
 * Constructs a list containing the elements of the specified
 * collection, in the order they are returned by the collection's
 * iterator.
 *
 * @param c the collection whose elements are to be placed into this list
 * @throws NullPointerException if the specified collection is null
 */
public ArrayList(Collection<? extends E> c) {
    elementData = c.toArray();
    size = elementData.length;
    // c.toArray might (incorrectly) not return Object[] (see 6260652)
    if (elementData.getClass() != Object[].class)
        elementData = Arrays.copyOf(elementData, size, Object[].class);
}

新增方法

ArrayList中的新增方法有四个

  • public boolean add(E e) //在数组中顺序新增一条
  • public void add(int index,E element) //在数组中指定位置添加数据
  • public boolean addAll(Collection<? extends E> c) //在数组中顺序新增多个元素
  • public boolean addAll(int index, Collection<? extends E> c) //在数组中指定位置新增多个元素

我们重点看一下add方法,会先判断是否需要进行扩容,如果需要扩容则进行扩容,最后将数据添加到数组的最后边,如果初始化是没有指定长度,以及长度< DEFAULT_CAPACITY,都会默认将数组长度赋值成DEFAULT_CAPACITY,也就是有种懒加载的味道,当新数据添加后的长度大于原数组长度时进行扩容grow

public boolean add(E e) {
    //判断是否需要扩容,需要的话进行扩容
    ensureCapacityInternal(size + 1);  // Increments modCount!!
    //将数据添加到数组最后边
    elementData[size++] = e;
    return true;
}

private void ensureCapacityInternal(int minCapacity) {
    //空数组,默认赋值数组长度为DEFAULT_CAPACITY=10
    if (elementData == EMPTY_ELEMENTDATA) {
        minCapacity = Math.max(DEFAULT_CAPACITY, minCapacity);
    }
    
    ensureExplicitCapacity(minCapacity);
}

private void ensureExplicitCapacity(int minCapacity) {
    modCount++;

    // overflow-conscious code
    if (minCapacity - elementData.length > 0)
        grow(minCapacity);
}

grow具体内容如下,扩容机制,扩容量=旧数组容量右移1位(相当于除2并向下取整的结果):

private void grow(int minCapacity) {
    // overflow-conscious code
    int oldCapacity = elementData.length;
    int newCapacity = oldCapacity + (oldCapacity >> 1);
    if (newCapacity - minCapacity < 0)
        newCapacity = minCapacity;
    if (newCapacity - MAX_ARRAY_SIZE > 0)
        newCapacity = hugeCapacity(minCapacity);
    // minCapacity is usually close to size, so this is a win:
    elementData = Arrays.copyOf(elementData, newCapacity);
}

private static int hugeCapacity(int minCapacity) {
    if (minCapacity < 0) // overflow
        throw new OutOfMemoryError();
    return (minCapacity > MAX_ARRAY_SIZE) ?
        Integer.MAX_VALUE :
        MAX_ARRAY_SIZE;
}

需要注意的一点是add(int index,E element)addAll(int index, Collection<? extends E> c),这两个方法都是在指定位置添加元素,首先进行越界检查,在检查数组是否足够大,随后在进行数据挪动,此处用的是System.arraycopy复制方法,只不过源数组和目标数组都是elementData自己,相当于将指定位置及以后的数据向后移动N位,最后把新增的数据添加到指定位置。

public void add(int index, E element) {
    rangeCheckForAdd(index);

    ensureCapacityInternal(size + 1);  // Increments modCount!!
    System.arraycopy(elementData, index, elementData, index + 1,
                     size - index);
    elementData[index] = element;
    size++;
}

删除方法

删除元素的方法主要有4个,分别为如下所示:

  • public E remove(int index) 移除指定位置的元素,并返回该位置的原元素。
  • public boolean remove(Object o) 移除首个为 o 的元素,并返回是否移除成功。
  • protected void removeRange(int fromIndex, int toIndex) 批量移除 [fromIndex, toIndex)内的多个元素,这里需要特别注意: toIndex不包括的噢。
  • public boolean removeAll(Collection<?> c) 批量移除指定的多个元素。

查看删除相关方法,会发现大致可以分为两步:

  • 找到指定位置的数据,进行删除操作
  • 指定位置后的数据进行前移,size调整
public E remove(int index) {
    rangeCheck(index);

    modCount++;
    E oldValue = elementData(index);

    int numMoved = size - index - 1;
    if (numMoved > 0)
        System.arraycopy(elementData, index+1, elementData, index,
                         numMoved);
    elementData[--size] = null; // clear to let GC do its work

    return oldValue;
}

查找数据

查找数据的方法,两个区别就在于一个从数组前方遍历,一个从数组后边遍历

  • public int indexOf(Object o)
  • public int lastIndexOf(Object o)
public int indexOf(Object o) {
    if (o == null) {
        for (int i = 0; i < size; i++)
            if (elementData[i]==null)
                return i;
    } else {
        for (int i = 0; i < size; i++)
            if (o.equals(elementData[i]))
                return i;
    }
    return -1;
}


public int lastIndexOf(Object o) {
    if (o == null) {
        for (int i = size-1; i >= 0; i--)
            if (elementData[i]==null)
                return i;
    } else {
        for (int i = size-1; i >= 0; i--)
            if (o.equals(elementData[i]))
                return i;
    }
    return -1;
}

查找的代码不难,不过从代码里面可以看出来ArrayList是支持存储 null