Leetcode 69. x 的平方根

812 阅读2分钟

Leetcode 69. x 的平方根

Offer 驾到,掘友接招!我正在参与2022春招打卡活动,点击查看活动详情

1、题目📑

给你一个非负整数 x ,计算并返回 x算术平方根

由于返回类型是整数,结果只保留 整数部分 ,小数部分将被 舍去 。

**注意:**不允许使用任何内置指数函数和算符,例如 pow(x, 0.5) 或者 x ** 0.5

实例1

输入:x = 4

输出:2

实例2

输入:x = 8

输出:2

解释:8 的算术平方根是 2.82842..., 由于返回类型是整数,小数部分将被舍去。

限制

  • 0 <= x <= 231 - 1

2、思路🧠

方法一:二分法

从题目的要求和示例我们可以看出,是一个查找整数的问题,且这个整数是有范围的。

  • 整数的平方 等于 输入整数,找到了这个整数;
  • 整数的平方 大于 输入整数,这个整数一定不是我们要找的那个数,需要找的数一定在这个数字的前面。
  • 整数的平方 小于 输入整数,这个整数 可能 是我们要找的那个数。

一定要理清楚程序的逻辑,确定程序最后指针指向的位置。

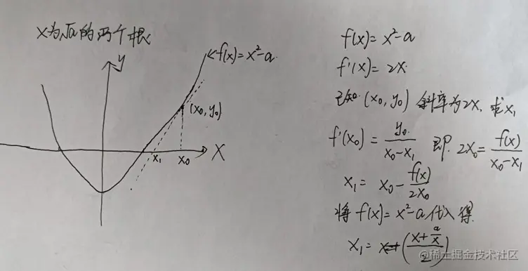
方法二:牛顿迭代法

属于是一种迭代的求解过程,即利用递归来求解。证明过程如下图

image-20220317142223522

我们求解得到一个公式:(x + a / x) / 2 a是需要求解算术平方根的数字,是个定值 x 是我们需要求解的零点的值

废话少说~~~~~上代码!

3、代码👨‍💻

第一次commit AC

class Solution {
    public int mySqrt(int x) {
        if(x == 0) return 0;
        if(x == 1) return 1;
        int R = x;
        int L = 0;
        while(L <= R) {
            int M = L + ((R-L) >> 1);
            if(M > (long)x / M){
                //L...M-1
                R = M - 1;
            }else{
                //M....R
                L = M + 1;
            }
        }
        return R;
    }
}

时间复杂度:O(log N) 每一次搜索的区间大小约为原来的二分之一

空间复杂度:O(1)

第二次commit AC

class Solution {
    int a;
    public int mySqrt(int x) {
        a = x;
        if(x == 0) return 0;
        if(x == 1) return 1;
        double result = (x + a / x) >> 1;
        double x1 = x;
        while(true){
            result = (x1 + a / x1) / 2;
            if(result == x1){
                break;
            }
            x1 = result;
        }
        return (int) result;
    }
}

时间复杂度:O(log N) 此方法是收敛的,相较于二分查找更快。

空间复杂度:O(1)

image-20220317141220503

4、总结

该题目的使用二分查找的应用实例,首先要对二分法有所了解。

二分法模板:

public static int binarysearch(int arr[], int L, int R, int target){
    int count = 0;
    int M = (L + R) >> 1;
    if(L > R) return -1;

    if (target > arr[M]){
        return binarysearch(arr, M + 1, R, target);
    }else if(target < arr[M]){
        return binarysearch(arr, L, M - 1, target);
    }else {
        return M;
    }
}

❤️‍来自专栏《LeetCode基础算法题》欢迎订阅❤️‍

厂长写博客目的初衷很简单,希望大家在学习的过程中少走弯路,多学一些东西,对自己有帮助的留下你的赞赞👍或者关注➕都是对我最大的支持,你的关注和点赞给厂长每天更文的动力。

对文章其中一部分不理解,都可以评论区回复我,我们来一起讨论,共同学习,一起进步!

原题链接:69. x 的平方根 - 力扣(LeetCode)