攻不下dfs不参加比赛(二十二)

119 阅读4分钟

Offer 驾到,掘友接招!我正在参与2022春招打卡活动,点击查看活动详情

为什么练dfs

相信学过数据结构的朋友都知道dfs(深度优先搜索)是里面相当重要的一种搜索算法,可能直接说大家感受不到有条件的大家可以去看看一些算法比赛。这些比赛中每一届或多或少都会牵扯到dfs,可能提到dfs大家都知道但是我们为了避免眼高手低有的东西看着自己很明白就是写不出来。为了避免这种尴尬我们这几天乘着这个活动练练,好了我们话不多说开始肥学。

PS:这两天发现有的肥友不知道什么是DFS我还是简单说一下吧不然这题很难做下去。

深度优先搜索属于图算法的一种,英文缩写为DFS即Depth First Search.其过程简要来说是对每一个可能的分支路径深入到不能再深入为止,而且每个节点只能访问一次.

在这里插入图片描述

举例说明之:下图是一个无向图,如果我们从A点发起深度优先搜索(以下的访问次序并不是唯一的,第二个点既可以是B也可以是C,D),则我们可能得到如下的一个访问过程:A->B->E(没有路了!回溯到A)->C->F->H->G->D(没有路,最终回溯到A,A也没有未访问的相邻节点,本次搜索结束).简要说明深度优先搜索的特点:每次深度优先搜索的结果必然是图的一个连通分量.深度优先搜索可以从多点发起.如果将每个节点在深度优先搜索过程中的"结束时间"排序(具体做法是创建一个list,然后在每个节点的相邻节点都已被访问的情况下,将该节点加入list结尾,然后逆转整个链表),则我们可以得到所谓的"拓扑排序",即topological sort. [1]

题目

给你一个二叉树的根节点 root ,计算并返回 整个树 的坡度 。

一个树的 节点的坡度 定义即为,该节点左子树的节点之和和右子树节点之和的 差的绝对值 。如果没有左子树的话,左子树的节点之和为 0 ;没有右子树的话也是一样。空结点的坡度是 0 。

整个树 的坡度就是其所有节点的坡度之和。

示例 1: 在这里插入图片描述

输入:root = [1,2,3]
输出:1
解释:
节点 2 的坡度:|0-0| = 0(没有子节点)
节点 3 的坡度:|0-0| = 0(没有子节点)
节点 1 的坡度:|2-3| = 1(左子树就是左子节点,所以和是 2 ;右子树就是右子节点,所以和是 3 )
坡度总和:0 + 0 + 1 = 1

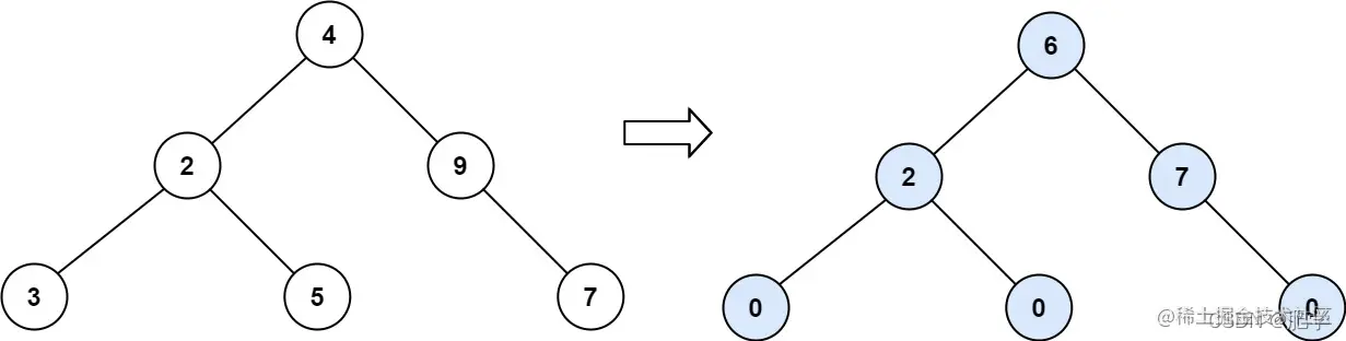
示例 2:

在这里插入图片描述

输入:root = [4,2,9,3,5,null,7]
输出:15
解释:
节点 3 的坡度:|0-0| = 0(没有子节点)
节点 5 的坡度:|0-0| = 0(没有子节点)
节点 7 的坡度:|0-0| = 0(没有子节点)
节点 2 的坡度:|3-5| = 2(左子树就是左子节点,所以和是 3 ;右子树就是右子节点,所以和是 5 )
节点 9 的坡度:|0-7| = 7(没有左子树,所以和是 0 ;右子树正好是右子节点,所以和是 7 )
节点 4 的坡度:|(3+5+2)-(9+7)| = |10-16| = 6(左子树值为 352 ,和是 10 ;右子树值为 97 ,和是 16 )
坡度总和:0 + 0 + 0 + 2 + 7 + 6 = 15

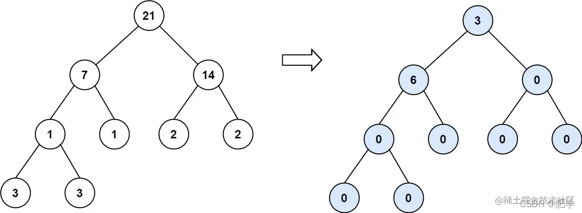
示例 3: 在这里插入图片描述

输入:root = [21,7,14,1,1,2,2,3,3]
输出:9
 

思路:我是将每个有孩子的节点存储它的孩子和自己的数值总和用来求该节点的坡度然后然后将坡度累加

根据题意,我们需要累计二叉树中所有结点的左子树结点之和与右子树结点之和的差的绝对值。因此,我们可以使用深度优先搜索,在遍历每个结点时,累加其左子树结点之和与右子树结点之和的差的绝对值,并返回以其为根结点的树的结点之和。

具体地,我们实现算法如下:

从根结点开始遍历,设当前遍历的结点为 node; 遍历 node 的左子结点,得到左子树结点之和sum_left;遍历 node 的右子结点,得到右子树结点之和 sum_right; 将左子树结点之和与右子树结点之和的差的绝对值累加到结果变量 ans; 返回以 node 作为根结点的树的结点之和 {sum_left} + {sum_right} + {node}.{val}sum_left+sum_right+node.val。

解一:易懂版

/**
 * Definition for a binary tree node.
 * public class TreeNode {
 *     int val;
 *     TreeNode left;
 *     TreeNode right;
 *     TreeNode() {}
 *     TreeNode(int val) { this.val = val; }
 *     TreeNode(int val, TreeNode left, TreeNode right) {
 *         this.val = val;
 *         this.left = left;
 *         this.right = right;
 *     }
 * }
 */
class Solution {
    static int allTilt=0;
    public int check(TreeNode root){
        if(root==null)return 0;
        int temp=Math.abs(check(root.left)-check(root.right));
        allTilt=allTilt+temp;//超有有思
        if(root.left==null&&root.right!=null)root.val+=0+root.right.val;
        else if(root.right==null&&root.left!=null)root.val+=root.left.val+0;
        else if(root.left!=null&&root.right!=null)root.val+=root.left.val+root.right.val;
        return root.val;
    }
    public int findTilt(TreeNode root) {
        check(root);
        return allTilt;
    }
}

解二:精简版

class Solution {
    int ans = 0;

    public int findTilt(TreeNode root) {
        dfs(root);
        return ans;
    }

    public int dfs(TreeNode node) {
        if (node == null) {
            return 0;
        }
        int sumLeft = dfs(node.left);
        int sumRight = dfs(node.right);
        ans += Math.abs(sumLeft - sumRight);
        return sumLeft + sumRight + node.val;
    }
}