打卡活动6-算法5. 最长回文子串

189 阅读4分钟

Offer 驾到,掘友接招!我正在参与2022春招打卡活动,点击查看活动详情

一、题目

给你一个字符串 s,找到 s 中最长的回文子串。

示例 1:

输入:s = "babad"

输出:"bab"

解释:"aba" 同样是符合题意的答案。

示例 2:

输入:s = "cbbd"

输出:"bb"

提示:

  • 1 <= s.length <= 1000
  • s 仅由数字和英文字母组成

二、我的解答

首先明白回文的定义:回文的意思是正着念和倒着念一样,如:上海自来水来自海上。

简单点说,就是对称性,aa或者aba这种对称形式,当然单个字符a也是符合回文要求。

第一次解答:

    public String longestPalindrome(String s) {
        int rkFinal = 0,lkFinal = 0;
        int ans=0;
        //从第一个字符开始比较,首先检查,后续是否出现相同字符。如果出现,就判断这段字符子串是否对称
        for (int lk = 0; lk < s.length(); lk++) {
            //因为单字符,自己也是个对称的回文子串,所以这里从rk=lk开始
            for (int rk = lk; rk < s.length(); rk++) {
                if (s.charAt(lk)==s.charAt(rk)){
                    //判断是否为回文子串,回文子串即对称,aba,abba这样子
                    boolean result=true;
                    for (int childLK = lk; childLK <=(rk-lk)/2+lk; childLK++) {
                        if (s.charAt(childLK)!=s.charAt(rk-(childLK-lk))){
                            result=false;
                        }
                    }
                    if (result){
                        // 判断当前回文子串和上一个回文子串哪一个大
                        if (ans<=rk-lk){
                            ans =rk-lk;
                            rkFinal=rk;
                            lkFinal=lk;
                        }
                    }
                }
            }
        }
        return s.substring(lkFinal,rkFinal+1);
    }

报错:超出时间限制

第二次解答:

之所以会出现超出时间的限制,主要是因为没考虑某些节点跳出循环,做了很多无用功。第二次解答进行了优化。(但是时间复杂度其实还是O(n^3))

先说一下之前的思路:

1、取一个字符x,和后面所有字符比较;

2、如果找到与之相等的字符x',就判断从x开始到x'结束的这个子串是否是一个回文子串(回文子串的意思就是是否对称,比如aabb,aba);

3、如果对称,就判断这个子串的长度是否比上一个查找出来的子串的长度长(默认初始为0),如果是,就记录长度为ans,并记住子串下标;

4、输出结果

优化在哪里呢?

一个是在判断是否为回文子串的时候,如果有一个不相等,就应该直接跳出遍历了,因为接下来的比对没有意义;

另一个优化是,第一次解答是取一个字符x,和其之后的字符顺序进行比对。第二次解答是取一个字符,和其之后的字符逆序进行比对。这样做的好处是什么呢?

逆序比对,一旦比对成功并判断为回文子串,那么它必定是关于当前字符x的最长的回文子串,就可以跳出当前关于x字符的查找,左指针向右移动一个。这样就避免了顺序挨个判断的无用功。

public static String longestPalindrome(String s) {
    //从第一个字符开始比较,首先检查,后续是否出现相同字符。如果出现,就判断这段字符子串是否对称
    int rkFinal = 0, lkFinal = 0;
    int ans = 0;
    //遍历字符串里的字符
    for (int lk = 0; lk < s.length(); lk++) {
        //字符x的回文子串们的查找
        for (int rk = s.length() - 1; rk >lk; rk--) {
            if (s.charAt(lk) == s.charAt(rk)) {
                //判断是否为回文子串,回文子串即对称,aba,abba这样子
                boolean result = true;
                for (int childLK = lk; childLK <= (rk - lk) / 2 + lk; childLK++) {
                    if (s.charAt(childLK) != s.charAt(rk - (childLK - lk))) {
                        result = false;
                        break;
                    }
                }
                if (result) {
                    // 判断当前回文子串和上一个回文子串哪一个大
                    if (ans <= rk - lk) {
                        ans = rk - lk;
                        rkFinal = rk;
                        lkFinal = lk;
                    }
                    break;
                }
            }
        }
    }
    // 判断当前回文子串和上一个回文子串哪一个大
    if (rkFinal!=0||lkFinal!=0){
        return s.substring(lkFinal, rkFinal + 1);
    }
    return s.charAt(0)+"";
}

三、系统解答

每次看官方解答,都是一脸懵逼,然后恍然大悟。然后百思不得其解,为何别人能想起来这么干,我却想不起来。

方法一:动态规划

思路与算法

对于一个子串而言,如果它是回文串,并且长度大于 2,那么将它首尾的两个字母去除之后,它仍然是个回文串。例如对于字符串“ababa”,如果我们已经知道“bab” 是回文串,那么“ababa” 一定是回文串,这是因为它的首尾两个字母都是 “a”。

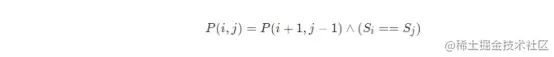
根据这样的思路,我们就可以用动态规划的方法解决本题。我们用 P(i,j) 表示字符串 s 的第 i 到 j个字母组成的串(下文表示成 s[i:j])是否为回文串:

这里的「其它情况」包含两种可能性:

  • s[i, j]本身不是一个回文串;
  • i>j,此时 s[i, j]本身不合法。

那么我们就可以写出动态规划的状态转移方程:

也就是说,只有 s[i+1:j-1] 是回文串,并且 s 的第 i 和 j 个字母相同时,s[i:j] 才会是回文串。

上文的所有讨论是建立在子串长度大于 2的前提之上的,我们还需要考虑动态规划中的边界条件,即子串的长度为 1 或 2。对于长度为 1 的子串,它显然是个回文串;对于长度为 2 的子串,只要它的两个字母相同,它就是一个回文串。因此我们就可以写出动态规划的边界条件:

根据这个思路,我们就可以完成动态规划了,最终的答案即为所有P(i,j)=true 中 j−i+1(即子串长度)的最大值。注意:在状态转移方程中,我们是从长度较短的字符串向长度较长的字符串进行转移的,因此一定要注意动态规划的循环顺序。(从长度为2的,往后递推)

public static String longestPalindrome2(String s) {
    int len = s.length();
    if (len < 2) {
        return s;
    }

    int maxLen = 1;
    int begin = 0;
    // dp[i][j] 表示 s[i..j] 是否是回文串,即下标从i到j的子串是否是回文串
    boolean[][] dp = new boolean[len][len];
    // 初始化:所有长度为 1 的子串都是回文串(下标从i到i,一个字符的子串)
    for (int i = 0; i < len; i++) {
        dp[i][i] = true;
    }

    char[] charArray = s.toCharArray();
    // 递推开始
    // 先枚举子串长度L,Length,先从子串长度为2开始判断(之所以先把最小长度的求出来,是为了后面递归的时候找到结果)
    for (int L = 2; L <= len; L++) {
        // 枚举左边界,左边界的上限设置可以宽松一些
        for (int i = 0; i < len; i++) {
            // 由 L 和 i 可以确定右边界,即 j - i + 1 = L 得
            int j = L + i - 1;
            // 如果右边界越界,就可以退出当前循环
            if (j >= len) {
                break;
            }
            //只要子串中,出现一次不对称,那么该子串就不是回文子串
            if (charArray[i] != charArray[j]) {
                dp[i][j] = false;
            } else {
                //小于3的意思是,i和j之间最多只有一个字符,此时又因为charArray[i] = charArray[j],也就是aba,aa的形式,必定是回文子串
                if (j - i < 3) {
                    dp[i][j] = true;
                } else {
                    //递归,一个子串,最外面的字符相等,他是否是回文子串?就要看他里面是否也相等
                    dp[i][j] = dp[i + 1][j - 1];
                }
            }

            // 只要 dp[i][L] == true 成立,就表示子串 s[i..L] 是回文,此时记录回文长度和起始位置
            if (dp[i][j] && j - i + 1 > maxLen) {
                maxLen = j - i + 1;
                begin = i;
            }
        }
    }
    return s.substring(begin, begin + maxLen);
}

时间复杂度:O(n^2),其中 n 是字符串的长度。动态规划的状态总数为 O(n^2),对于每个状态,我们需要转移的时间为 O(1)。

空间复杂度:O(n^2),即存储动态规划状态需要的空间。

方法二:中心扩展算法

思路与算法

我们仔细观察一下方法一中的状态转移方程:

找出其中的状态转移链:

可以发现,所有的状态在转移的时候的可能性都是唯一的。也就是说,我们可以从每一种边界情况开始「扩展」,也可以得出所有的状态对应的答案。

边界情况即为子串长度为 1 或 2 的情况。我们枚举每一种边界情况,并从对应的子串开始不断地向两边扩展。如果两边的字母相同,我们就可以继续扩展,例如从 P(i+1,j−1) 扩展到 P(i,j);如果两边的字母不同,我们就可以停止扩展,因为在这之后的子串都不能是回文串了。

聪明的读者此时应该可以发现,「边界情况」对应的子串实际上就是我们「扩展」出的回文串的「回文中心」。

方法二的本质即为:我们枚举所有的「回文中心」并尝试「扩展」,直到无法扩展为止,此时的回文串长度即为此「回文中心」下的最长回文串长度。我们对所有的长度求出最大值,即可得到最终的答案。

    public String longestPalindrome(String s) {
       if (s == null || s.length() < 1) {
            return "";
        }
        int start = 0, end = 0;
        for (int i = 0; i < s.length(); i++) {
            //假定中心点为char(i),向两边扩展,即aia这种形式
            int len1 = expandAroundCenter(s, i, i);
            //假定为中心点为char(i),char(i+1),向两边扩展,即char(i)=char(i+1),aiia这种形式
            int len2 = expandAroundCenter(s, i, i + 1);
            //比较出这两种情况下最大的一个,记录长度
            int len = Math.max(len1, len2);
            //比较当前长度len和之前长度end - start的大小,并记录
            if (len > end - start) {
                start = i - (len - 1) / 2;
                end = i + len / 2;
            }
        }
        return s.substring(start, end + 1);
    }
     public static int expandAroundCenter(String s, int left, int right) {
        while (left >= 0 && right < s.length() && s.charAt(left) == s.charAt(right)) {
            --left;
            ++right;
        }
        return right - left - 1;
    }

复杂度分析

时间复杂度:O(n^2),其中 n 是字符串的长度。长度为 1和 2的回文中心分别有 n 和 n−1 个,每个回文中心最多会向外扩展 O(n) 次。

空间复杂度:O(1)。

方法三:Manacher 算法

还有一个复杂度为 O(n) 的 Manacher 算法。然而本算法十分复杂,一般不作为面试内容。这里给出,仅供有兴趣的同学挑战自己。

为了表述方便,我们定义一个新概念臂长,表示中心扩展算法向外扩展的长度。如果一个位置的最大回文字符串长度为 2 * length + 1 ,其臂长为 length。

感兴趣的自己跳转查看:Manacher算法